Inflationary relics from an Ultra-Slow-Roll plateau

Author(s)

Escrivà, Albert, Garriga, Jaume, Pi, Shi

Abstract

We investigate the formation of primordial black holes (PBHs) in inflationary scenarios featuring an ultra-slow-roll (USR) plateau, focusing on two coexisting production channels: PBHs originating from relic vacuum bubbles where the inflaton got trapped on the plateau, and PBHs arising from standard adiabatic density perturbations. From detailed numerical simulations we find that the bubbles are generically surrounded by type-II curvature fluctuations. Special attention is given to the distribution of initial conditions, including the relevant mean profiles and shape dispersion around them. For the adiabatic channel, we extend the logarithmic template formula $ζ[ζ_G]$, which maps the Gaussian curvature perturbation to the fully non-Gaussian one while incorporating mode evolution, and we compare this with numerical results obtained using the $δN$ formalism. While the template departs from numerical results near its logarithmic divergence, it still provides accurate threshold values for PBH formation in the parameter range relevant to our analysis. Finally, we compute the PBH mass functions for both channels. We find that the adiabatic channel dominates over the bubble-induced channel by a factor $\sim \mathcal{O}(10-10^{2})$, and that both contributions are largely dominated by the mean profiles.

Figures

Inflationary potential $V(\phi)$ as a function of $\phi$. The cyan circles represent inflationary trajectories, which can undergo a backward quantum fluctuation (red arrow) and become trapped, forming a vacuum relic, instead of rolling down from the flat plateau (blue arrow).
Caption Inflationary potential $V(\phi)$ as a function of $\phi$. The cyan circles represent inflationary trajectories, which can undergo a backward quantum fluctuation (red arrow) and become trapped, forming a vacuum relic, instead of rolling down from the flat plateau (blue arrow).
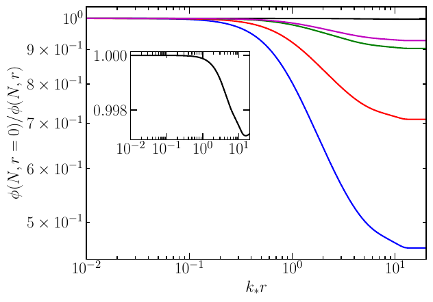
Left-panel: Field $\phi_{\rm bkg}(N)$. Middle panel: Veolocity field $\dot{\phi}_{\rm bkg}(N)$. Right panel: $\epsilon_2(N)$ parametter.
Caption Left-panel: Field $\phi_{\rm bkg}(N)$. Middle panel: Veolocity field $\dot{\phi}_{\rm bkg}(N)$. Right panel: $\epsilon_2(N)$ parametter.
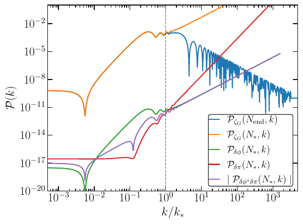
Power spectra of the different previously defined quantities in terms of $k/k_*$, where $k_{*} = a(N_*) H(N_*)$. The spectra are evaluated at $N_*$, except for the blue curve, which is evaluated at the end of inflation, $N_{\rm end}$.
Caption Power spectra of the different previously defined quantities in terms of $k/k_*$, where $k_{*} = a(N_*) H(N_*)$. The spectra are evaluated at $N_*$, except for the blue curve, which is evaluated at the end of inflation, $N_{\rm end}$.
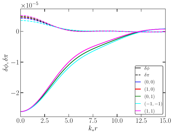
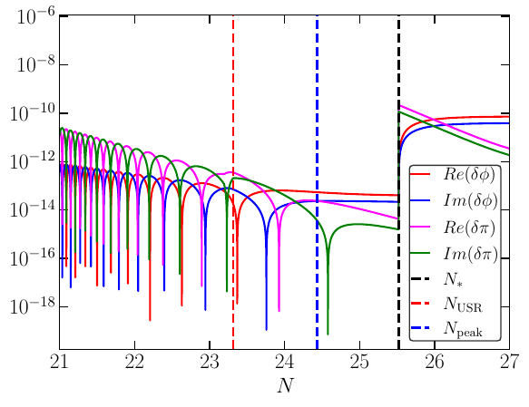
Mode evolution of $\delta \phi$ and $\delta \pi$, showing their real and imaginary components as a function of the number of e-folds. The three vertical dashed lines correspond to the times $N_k$ when the wave mode $k$ re-enters the horizon, for the case of $N_{*}$ (black), the beginning of the USR phase $N_{\rm USR}$ (red line), and the location of the maximum of the power spectrum $\mathcal{P}_{\zeta_G}(k)$ at $k_{\rm peak}$ (blue). Left panel corresponds to $k=k_{\rm peak}$ and right panel $k=k_{*}$.
Caption Mode evolution of $\delta \phi$ and $\delta \pi$, showing their real and imaginary components as a function of the number of e-folds. The three vertical dashed lines correspond to the times $N_k$ when the wave mode $k$ re-enters the horizon, for the case of $N_{*}$ (black), the beginning of the USR phase $N_{\rm USR}$ (red line), and the location of the maximum of the power spectrum $\mathcal{P}_{\zeta_G}(k)$ at $k_{\rm peak}$ (blue). Left panel corresponds to $k=k_{\rm peak}$ and right panel $k=k_{*}$.
Mode evolution of $\delta \phi$ and $\delta \pi$, showing their real and imaginary components as a function of the number of e-folds. The three vertical dashed lines correspond to the times $N_k$ when the wave mode $k$ re-enters the horizon, for the case of $N_{*}$ (black), the beginning of the USR phase $N_{\rm USR}$ (red line), and the location of the maximum of the power spectrum $\mathcal{P}_{\zeta_G}(k)$ at $k_{\rm peak}$ (blue). Left panel corresponds to $k=k_{\rm peak}$ and right panel $k=k_{*}$.
Caption Mode evolution of $\delta \phi$ and $\delta \pi$, showing their real and imaginary components as a function of the number of e-folds. The three vertical dashed lines correspond to the times $N_k$ when the wave mode $k$ re-enters the horizon, for the case of $N_{*}$ (black), the beginning of the USR phase $N_{\rm USR}$ (red line), and the location of the maximum of the power spectrum $\mathcal{P}_{\zeta_G}(k)$ at $k_{\rm peak}$ (blue). Left panel corresponds to $k=k_{\rm peak}$ and right panel $k=k_{*}$.
Top-Left panel: Normalized correlators $\Psi_{\phi},\Psi_{\pi}$. Top-Right panel: Ratio between the correlators. Bottom-Left panel: Dispersion shapes $\Delta_{\phi}(r), \Delta_{\pi}(r)$. Bottom-Right panel: Shapes $\delta \phi(r,n,m),\delta \pi(r,n,m)$ taking $\mu \approx 2.613 \cdot 10^{-5}$. We have also used $\sigma_{\delta \phi}\approx 2.836 \cdot 10^{-6}$, $\tilde{\sigma}_{\pi} \approx 4.960 \cdot 10^{-7}$
Caption Top-Left panel: Normalized correlators $\Psi_{\phi},\Psi_{\pi}$. Top-Right panel: Ratio between the correlators. Bottom-Left panel: Dispersion shapes $\Delta_{\phi}(r), \Delta_{\pi}(r)$. Bottom-Right panel: Shapes $\delta \phi(r,n,m),\delta \pi(r,n,m)$ taking $\mu \approx 2.613 \cdot 10^{-5}$. We have also used $\sigma_{\delta \phi}\approx 2.836 \cdot 10^{-6}$, $\tilde{\sigma}_{\pi} \approx 4.960 \cdot 10^{-7}$
Top-Left panel: Normalized correlators $\Psi_{\phi},\Psi_{\pi}$. Top-Right panel: Ratio between the correlators. Bottom-Left panel: Dispersion shapes $\Delta_{\phi}(r), \Delta_{\pi}(r)$. Bottom-Right panel: Shapes $\delta \phi(r,n,m),\delta \pi(r,n,m)$ taking $\mu \approx 2.613 \cdot 10^{-5}$. We have also used $\sigma_{\delta \phi}\approx 2.836 \cdot 10^{-6}$, $\tilde{\sigma}_{\pi} \approx 4.960 \cdot 10^{-7}$
Caption Top-Left panel: Normalized correlators $\Psi_{\phi},\Psi_{\pi}$. Top-Right panel: Ratio between the correlators. Bottom-Left panel: Dispersion shapes $\Delta_{\phi}(r), \Delta_{\pi}(r)$. Bottom-Right panel: Shapes $\delta \phi(r,n,m),\delta \pi(r,n,m)$ taking $\mu \approx 2.613 \cdot 10^{-5}$. We have also used $\sigma_{\delta \phi}\approx 2.836 \cdot 10^{-6}$, $\tilde{\sigma}_{\pi} \approx 4.960 \cdot 10^{-7}$
Top-Left panel: Normalized correlators $\Psi_{\phi},\Psi_{\pi}$. Top-Right panel: Ratio between the correlators. Bottom-Left panel: Dispersion shapes $\Delta_{\phi}(r), \Delta_{\pi}(r)$. Bottom-Right panel: Shapes $\delta \phi(r,n,m),\delta \pi(r,n,m)$ taking $\mu \approx 2.613 \cdot 10^{-5}$. We have also used $\sigma_{\delta \phi}\approx 2.836 \cdot 10^{-6}$, $\tilde{\sigma}_{\pi} \approx 4.960 \cdot 10^{-7}$
Caption Top-Left panel: Normalized correlators $\Psi_{\phi},\Psi_{\pi}$. Top-Right panel: Ratio between the correlators. Bottom-Left panel: Dispersion shapes $\Delta_{\phi}(r), \Delta_{\pi}(r)$. Bottom-Right panel: Shapes $\delta \phi(r,n,m),\delta \pi(r,n,m)$ taking $\mu \approx 2.613 \cdot 10^{-5}$. We have also used $\sigma_{\delta \phi}\approx 2.836 \cdot 10^{-6}$, $\tilde{\sigma}_{\pi} \approx 4.960 \cdot 10^{-7}$
Top-Left panel: Normalized correlators $\Psi_{\phi},\Psi_{\pi}$. Top-Right panel: Ratio between the correlators. Bottom-Left panel: Dispersion shapes $\Delta_{\phi}(r), \Delta_{\pi}(r)$. Bottom-Right panel: Shapes $\delta \phi(r,n,m),\delta \pi(r,n,m)$ taking $\mu \approx 2.613 \cdot 10^{-5}$. We have also used $\sigma_{\delta \phi}\approx 2.836 \cdot 10^{-6}$, $\tilde{\sigma}_{\pi} \approx 4.960 \cdot 10^{-7}$
Caption Top-Left panel: Normalized correlators $\Psi_{\phi},\Psi_{\pi}$. Top-Right panel: Ratio between the correlators. Bottom-Left panel: Dispersion shapes $\Delta_{\phi}(r), \Delta_{\pi}(r)$. Bottom-Right panel: Shapes $\delta \phi(r,n,m),\delta \pi(r,n,m)$ taking $\mu \approx 2.613 \cdot 10^{-5}$. We have also used $\sigma_{\delta \phi}\approx 2.836 \cdot 10^{-6}$, $\tilde{\sigma}_{\pi} \approx 4.960 \cdot 10^{-7}$
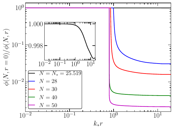
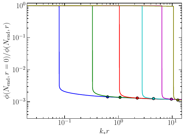
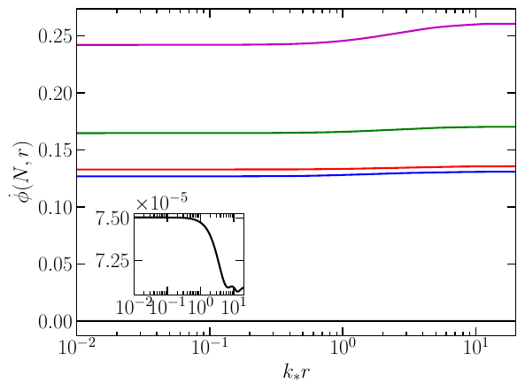
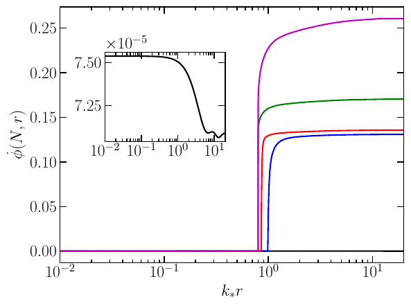
Top-panels: Snapshots of the bubble dynamics for $\phi(N,r)$ (left-panel) and $\dot{\phi}(N,r)$ (right-panel) for the mean profile shape with $\mu=\mu^{\rm bub}_c+10^{-6}$. Bottom-panels: Same as top-panels but for subcritical amplitudes $\mu=\mu^{\rm bub}_c-10^{-6}$. The inner-sub plots show the initial shape at $N=N_*$
Caption Top-panels: Snapshots of the bubble dynamics for $\phi(N,r)$ (left-panel) and $\dot{\phi}(N,r)$ (right-panel) for the mean profile shape with $\mu=\mu^{\rm bub}_c+10^{-6}$. Bottom-panels: Same as top-panels but for subcritical amplitudes $\mu=\mu^{\rm bub}_c-10^{-6}$. The inner-sub plots show the initial shape at $N=N_*$
Top-panels: Snapshots of the bubble dynamics for $\phi(N,r)$ (left-panel) and $\dot{\phi}(N,r)$ (right-panel) for the mean profile shape with $\mu=\mu^{\rm bub}_c+10^{-6}$. Bottom-panels: Same as top-panels but for subcritical amplitudes $\mu=\mu^{\rm bub}_c-10^{-6}$. The inner-sub plots show the initial shape at $N=N_*$
Caption Top-panels: Snapshots of the bubble dynamics for $\phi(N,r)$ (left-panel) and $\dot{\phi}(N,r)$ (right-panel) for the mean profile shape with $\mu=\mu^{\rm bub}_c+10^{-6}$. Bottom-panels: Same as top-panels but for subcritical amplitudes $\mu=\mu^{\rm bub}_c-10^{-6}$. The inner-sub plots show the initial shape at $N=N_*$
Top-panels: Snapshots of the bubble dynamics for $\phi(N,r)$ (left-panel) and $\dot{\phi}(N,r)$ (right-panel) for the mean profile shape with $\mu=\mu^{\rm bub}_c+10^{-6}$. Bottom-panels: Same as top-panels but for subcritical amplitudes $\mu=\mu^{\rm bub}_c-10^{-6}$. The inner-sub plots show the initial shape at $N=N_*$
Caption Top-panels: Snapshots of the bubble dynamics for $\phi(N,r)$ (left-panel) and $\dot{\phi}(N,r)$ (right-panel) for the mean profile shape with $\mu=\mu^{\rm bub}_c+10^{-6}$. Bottom-panels: Same as top-panels but for subcritical amplitudes $\mu=\mu^{\rm bub}_c-10^{-6}$. The inner-sub plots show the initial shape at $N=N_*$
Top-panels: Snapshots of the bubble dynamics for $\phi(N,r)$ (left-panel) and $\dot{\phi}(N,r)$ (right-panel) for the mean profile shape with $\mu=\mu^{\rm bub}_c+10^{-6}$. Bottom-panels: Same as top-panels but for subcritical amplitudes $\mu=\mu^{\rm bub}_c-10^{-6}$. The inner-sub plots show the initial shape at $N=N_*$
Caption Top-panels: Snapshots of the bubble dynamics for $\phi(N,r)$ (left-panel) and $\dot{\phi}(N,r)$ (right-panel) for the mean profile shape with $\mu=\mu^{\rm bub}_c+10^{-6}$. Bottom-panels: Same as top-panels but for subcritical amplitudes $\mu=\mu^{\rm bub}_c-10^{-6}$. The inner-sub plots show the initial shape at $N=N_*$
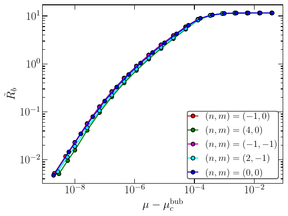
Bubble size as a function of the fluctuation amplitude $\mu - \mu^{\rm bub}_c$ for the mean profile $(n,m)=(0,0)$ and other realizations $(n,m)$.
Caption Bubble size as a function of the fluctuation amplitude $\mu - \mu^{\rm bub}_c$ for the mean profile $(n,m)=(0,0)$ and other realizations $(n,m)$.
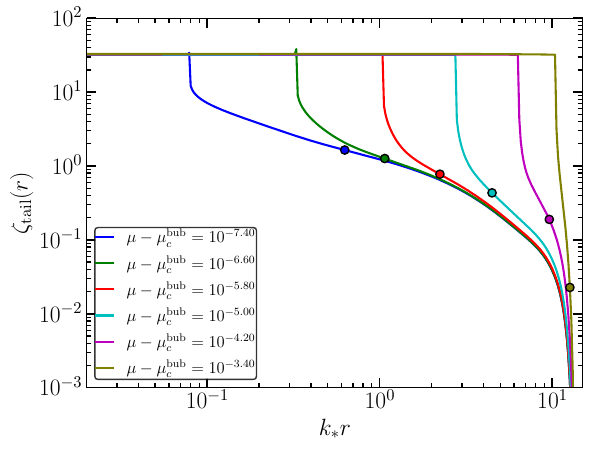
Left-panel: Bubble shape profile at the end of inflation. Right-panel:Curvature flucation at the end of inflation from the $\delta N$ formalism. The dots represent the points where it is satisfied that $1+r_{\rm II}\zeta'(r_{\rm II})=0$.
Caption Left-panel: Bubble shape profile at the end of inflation. Right-panel:Curvature flucation at the end of inflation from the $\delta N$ formalism. The dots represent the points where it is satisfied that $1+r_{\rm II}\zeta'(r_{\rm II})=0$.
Left-panel: Bubble shape profile at the end of inflation. Right-panel:Curvature flucation at the end of inflation from the $\delta N$ formalism. The dots represent the points where it is satisfied that $1+r_{\rm II}\zeta'(r_{\rm II})=0$.
Caption Left-panel: Bubble shape profile at the end of inflation. Right-panel:Curvature flucation at the end of inflation from the $\delta N$ formalism. The dots represent the points where it is satisfied that $1+r_{\rm II}\zeta'(r_{\rm II})=0$.
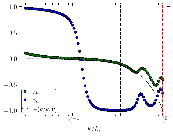
Values of $A_k$ and $\gamma_k$ in terms of the wave-modes. The black vertical dashed lines denotes the location of the first peak of the power spectrum and the second one respectively. The vertical red line denotes the mode $k_*$.
Caption Values of $A_k$ and $\gamma_k$ in terms of the wave-modes. The black vertical dashed lines denotes the location of the first peak of the power spectrum and the second one respectively. The vertical red line denotes the mode $k_*$.
Left-panel: Shapes of $\zeta$ for different amplitudes $\mu$ for the mean profile $(n,m)=(0,0)$. The solid line corresponds to the numerical $\zeta$ from $\delta N$, whereas the dashed line to the analytical template Eq.~\eqref{zetanal} with $A=-0.1$. Right-panel: Corresponding compaction functions $\mathcal{C}(r)$.
Caption Left-panel: Shapes of $\zeta$ for different amplitudes $\mu$ for the mean profile $(n,m)=(0,0)$. The solid line corresponds to the numerical $\zeta$ from $\delta N$, whereas the dashed line to the analytical template Eq.~\eqref{zetanal} with $A=-0.1$. Right-panel: Corresponding compaction functions $\mathcal{C}(r)$.
Left-panel: Shapes of $\zeta$ for different amplitudes $\mu$ for the mean profile $(n,m)=(0,0)$. The solid line corresponds to the numerical $\zeta$ from $\delta N$, whereas the dashed line to the analytical template Eq.~\eqref{zetanal} with $A=-0.1$. Right-panel: Corresponding compaction functions $\mathcal{C}(r)$.
Caption Left-panel: Shapes of $\zeta$ for different amplitudes $\mu$ for the mean profile $(n,m)=(0,0)$. The solid line corresponds to the numerical $\zeta$ from $\delta N$, whereas the dashed line to the analytical template Eq.~\eqref{zetanal} with $A=-0.1$. Right-panel: Corresponding compaction functions $\mathcal{C}(r)$.
PBH mass functions from the adiabatic and bubble channels for different realizations $(n,m)$. The different colors denote the $(n,m)$ combinations, with solid lines referring to the adiabatic channel and dashed lines to the bubble channel.
Caption PBH mass functions from the adiabatic and bubble channels for different realizations $(n,m)$. The different colors denote the $(n,m)$ combinations, with solid lines referring to the adiabatic channel and dashed lines to the bubble channel.
References
  • [1] Y.B. Zel’dovich and I.D. Novikov, The Hypothesis of Cores Retarded during Expansion and the Hot Cosmological Model, Soviet Ast. 10 (1967) 602.
  • [2] S. Hawking, Gravitationally collapsed objects of very low mass, Mon. Not. Roy. Astron. Soc. 152 (1971) 75.
  • [3] B. Carr and S. Hawking, Black holes in the early Universe, MNRAS 168 (1974) 399.
  • [4] B. Carr, The primordial black hole mass spectrum., ApJ 201 (1975) 1.
  • [5] I.D. Novikov, A.G. Polnarev, A.A. Starobinskii and I.B. Zeldovich, Primordial black holes, A&A 80 (1979) 104.
  • [6] A. Escrivà, F. Kuhnel and Y. Tada, Primordial Black Holes, 2211.05767.
  • [7] G.F. Chapline, Cosmological effects of primordial black holes, Nature 253 (1975) 251.
  • [8] B. Carr, F. Kühnel and M. Sandstad, Primordial black holes as dark matter, Phys. Rev. D 94 (2016) 083504 [1607.06077].
  • [9] J. Garcı́a-Bellido, Massive Primordial Black Holes as Dark Matter and their detection with Gravitational Waves, in Journal of Physics Conference Series, vol. 840 of Journal of Physics Conference Series, p. 012032, May, 2017, DOI [1702.08275].
  • [10] B. Carr and F. Kühnel, Primordial Black Holes as Dark Matter: Recent Developments, Annual Review of Nuclear and Particle Science 70 (2020) 355 [2006.02838].
  • [11] B. Carr, K. Kohri, Y. Sendouda and J. Yokoyama, Constraints on primordial black holes, Rept. Prog. Phys. 84 (2021) 116902 [2002.12778].
  • [12] A.M. Green and B.J. Kavanagh, Primordial black holes as a dark matter candidate, Journal of Physics G Nuclear Physics 48 (2021) 043001 [2007.10722].
  • [13] B. Carr and F. Kühnel, Primordial black holes as dark matter candidates, SciPost Phys. Lect. Notes 48 (2022) 1 [2110.02821].
  • [14] M. Sasaki, T. Suyama, T. Tanaka and S. Yokoyama, Primordial black holes—perspectives in gravitational wave astronomy, Classical and Quantum Gravity 35 (2018) 063001 [1801.05235].
  • [15] B. Abbott, others, LIGO Scientific Collaboration and Virgo Collaboration, Binary Black Hole Mergers in the First Advanced LIGO Observing Run, Physical Review X 6 (2016) 041015 [1606.04856].
  • [16] KAGRA, VIRGO, LIGO Scientific collaboration, GWTC-3: Compact Binary Coalescences Observed by LIGO and Virgo during the Second Part of the Third Observing Run, Phys. Rev. X 13 (2023) 041039 [2111.03606].
  • [17] R. Murgia, G. Scelfo, M. Viel and A. Raccanelli, Lyman-α Forest Constraints on Primordial Black Holes as Dark Matter, Phys. Rev. Lett. 123 (2019) 071102 [1903.10509].
  • [18] J. Luo et al., Fundamental Physics and Cosmology with TianQin, 2502.20138.
  • [19] A. Escrivà, PBH Formation from Spherically Symmetric Hydrodynamical Perturbations: A Review, Universe 8 (2022) 66 [2111.12693].
  • [20] P. Ivanov, P. Naselsky and I. Novikov, Inflation and primordial black holes as dark matter, Phys. Rev. D 50 (1994) 7173.
  • [21] N.C. Tsamis and R.P. Woodard, Improved estimates of cosmological perturbations, Phys. Rev. D 69 (2004) 084005 [astro-ph/0307463].
  • [22] W.H. Kinney, Horizon crossing and inflation with large eta, Phys. Rev. D 72 (2005) 023515 [gr-qc/0503017].
  • [23] J. Garcia-Bellido and E. Ruiz Morales, Primordial black holes from single field models of inflation, Phys. Dark Univ. 18 (2017) 47 [1702.03901].
  • [24] H. Motohashi and W. Hu, Primordial Black Holes and Slow-Roll Violation, Phys. Rev. D 96 (2017) 063503 [1706.06784].
  • [25] C. Germani and T. Prokopec, On primordial black holes from an inflection point, Phys. Dark Univ. 18 (2017) 6 [1706.04226].
  • [26] C.T. Byrnes, P.S. Cole and S.P. Patil, Steepest growth of the power spectrum and primordial black holes, JCAP 06 (2019) 028 [1811.11158].
  • [27] V. Atal and C. Germani, The role of non-gaussianities in Primordial Black Hole formation, Phys. Dark Univ. 24 (2019) 100275 [1811.07857].
  • [28] D.G. Figueroa, S. Raatikainen, S. Rasanen and E. Tomberg, Implications of stochastic effects for primordial black hole production in ultra-slow-roll inflation, JCAP 05 (2022) 027 [2111.07437].
  • [29] H.V. Ragavendra and L. Sriramkumar, Observational Imprints of Enhanced Scalar Power on Small Scales in Ultra Slow Roll Inflation and Associated Non-Gaussianities, Galaxies 11 (2023) 34 [2301.08887].
  • [30] G. Ballesteros and J. Gambı́n Egea, One-loop power spectrum in ultra slow-roll inflation and implications for primordial black hole dark matter, JCAP 07 (2024) 052 [2404.07196].
  • [31] G. Ballesteros, J. Gambı́n Egea, T. Konstandin, A. Pérez Rodrı́guez, M. Pierre and J. Rey, Intrinsic non-Gaussianity of ultra slow-roll inflation, 2412.14106.
  • [32] T. Fujita, R. Kawaguchi, M. Sasaki and Y. Tada, Dip and non-linearity in the curvature perturbation from inflation with a transient non-slow-roll stage, JCAP 09 (2025) 046 [2503.19744].
  • [33] S. Pi, Non-Gaussianities and Primordial Black Holes, (2025), DOI [2404.06151].
  • [34] V. Atal, J. Cid, A. Escrivà and J. Garriga, PBH in single field inflation: the effect of shape dispersion and non-Gaussianities, J. Cosmology Astropart. Phys. 2020 (2020) 022 [1908.11357].
  • [35] A. Escrivà, Y. Tada, S. Yokoyama and C.-M. Yoo, Simulation of primordial black holes with large negative non-Gaussianity, J. Cosmology Astropart. Phys. 2022 (2022) 012 [2202.01028].
  • [36] M. Shimada, A. Escrivá, D. Saito, K. Uehara and C.-M. Yoo, Primordial black hole formation from type II fluctuations with primordial non-Gaussianity, JCAP 02 (2025) 018 [2411.07648].
  • [37] R. Inui, C. Joana, H. Motohashi, S. Pi, Y. Tada and S. Yokoyama, Primordial black holes and induced gravitational waves from logarithmic non-Gaussianity, JCAP 03 (2025) 021 [2411.07647].
  • [38] J. Garriga, A. Vilenkin and J. Zhang, Black holes and the multiverse, JCAP 02 (2016) 064 [1512.01819].
  • [39] H. Deng, J. Garriga and A. Vilenkin, Primordial black hole and wormhole formation by domain walls, JCAP 04 (2017) 050 [1612.03753].
  • [40] V. Atal, J. Garriga and A. Marcos-Caballero, Primordial black hole formation with non-Gaussian curvature perturbations, JCAP 09 (2019) 073 [1905.13202].
  • [41] H. Deng, Primordial black hole formation by vacuum bubbles. Part II, J. Cosmology Astropart. Phys. 2020 (2020) 023 [2006.11907].
  • [42] A. Kusenko, M. Sasaki, S. Sugiyama, M. Takada, V. Takhistov and E. Vitagliano, Exploring Primordial Black Holes from the Multiverse with Optical Telescopes, Phys. Rev. Lett. 125 (2020) 181304 [2001.09160].
  • [43] J. He, H. Deng, Y.-S. Piao and J. Zhang, Implications of GWTC-3 on primordial black holes from vacuum bubbles, Phys. Rev. D 109 (2024) 044035 [2303.16810].
  • [44] H. Deng, A. Vilenkin and M. Yamada, CMB spectral distortions from black holes formed by vacuum bubbles, JCAP 07 (2018) 059 [1804.10059].
  • [45] A. Escrivà, V. Atal and J. Garriga, Formation of trapped vacuum bubbles during inflation, and consequences for PBH scenarios, JCAP 10 (2023) 035 [2306.09990].
  • [46] M. Kleban and C.E. Norton, Monochromatic mass spectrum of primordial black holes, Phys. Rev. D 111 (2025) 023538 [2310.09898].
  • [47] H. Wang, Y.-l. Zhang and T. Suyama, Nearly Monochromatic Primordial Black Holes as total Dark Matter from Bubble Collapse, Phys. Rev. D 111 (2025) 023538 [2510.19233].
  • [48] S.S. Mishra and V. Sahni, Primordial Black Holes from a tiny bump/dip in the Inflaton potential, JCAP 04 (2020) 007 [1911.00057].
  • [49] R. Zheng, S. Jiaming and T. Qiu, On primordial black holes and secondary gravitational waves generated from inflation with solo/multi-bumpy potential *, Chin. Phys. C 46 (2022) 045103 [2106.04303].
  • [50] Q. Wang, Y.-C. Liu, B.-Y. Su and N. Li, Primordial black holes from the perturbations in the inflaton potential in peak theory, Phys. Rev. D 104 (2021) 083546 [2111.10028].
  • [51] K. Rezazadeh, Z. Teimoori, S. Karimi and K. Karami, Non-Gaussianity and secondary gravitational waves from primordial black holes production in α-attractor inflation, Eur. Phys. J. C 82 (2022) 758 [2110.01482].
  • [52] L. Iacconi, H. Assadullahi, M. Fasiello and D. Wands, Revisiting small-scale fluctuations in α-attractor models of inflation, JCAP 06 (2022) 007 [2112.05092].
  • [53] S. Pi and M. Sasaki, Logarithmic Duality of the Curvature Perturbation, Phys. Rev. Lett. 131 (2023) 011002 [2211.13932].
  • [54] M.H. Namjoo, H. Firouzjahi and M. Sasaki, Violation of non-Gaussianity consistency relation in a single field inflationary model, EPL 101 (2013) 39001 [1210.3692].
  • [55] X. Chen, H. Firouzjahi, E. Komatsu, M.H. Namjoo and M. Sasaki, In-in and δN calculations of the bispectrum from non-attractor single-field inflation, JCAP 12 (2013) 039 [1308.5341].
  • [56] Y.-F. Cai, X. Chen, M.H. Namjoo, M. Sasaki, D.-G. Wang and Z. Wang, Revisiting non-Gaussianity from non-attractor inflation models, JCAP 05 (2018) 012 [1712.09998].
  • [57] M. Biagetti, G. Franciolini, A. Kehagias and A. Riotto, Primordial Black Holes from Inflation and Quantum Diffusion, JCAP 07 (2018) 032 [1804.07124].
  • [58] S. Passaglia, W. Hu and H. Motohashi, Primordial black holes and local non-Gaussianity in canonical inflation, Phys. Rev. D 99 (2019) 043536 [1812.08243].
  • [59] D. Artigas, S. Pi and T. Tanaka, Extended δN Formalism: Nonspatially Flat Separate-Universe Approach, Phys. Rev. Lett. 134 (2025) 221001 [2408.09964].
  • [60] A.A. Starobinskij, Spectrum of adiabatic perturbations in the universe when there are singularities in the inflationary potential., Soviet Journal of Experimental and Theoretical Physics Letters 55 (1992) 489.
  • [61] S. Pi, Y.-l. Zhang, Q.-G. Huang and M. Sasaki, Scalaron from R2 -gravity as a heavy field, JCAP 05 (2018) 042 [1712.09896].
  • [62] A. Gundhi, S.V. Ketov and C.F. Steinwachs, Primordial black hole dark matter in dilaton-extended two-field Starobinsky inflation, Phys. Rev. D 103 (2021) 083518 [2011.05999].
  • [63] S. Pi and J. Wang, Primordial black hole formation in Starobinsky’s linear potential model, JCAP 06 (2023) 018 [2209.14183].
  • [64] M. Kopp, S. Hofmann and J. Weller, Separate Universes Do Not Constrain Primordial Black Hole Formation, Phys. Rev. D 83 (2011) 124025 [1012.4369].
  • [65] A. Vilenkin, Quantum Fluctuations in the New Inflationary Universe, Nucl. Phys. B 226 (1983) 527.
  • [66] A.A. Starobinsky, STOCHASTIC DE SITTER (INFLATIONARY) STAGE IN THE EARLY UNIVERSE, Lect. Notes Phys. 246 (1986) 107.
  • [67] M. Aryal and A. Vilenkin, The Fractal Dimension of Inflationary Universe, Phys. Lett. B 199 (1987) 351.
  • [68] A. Vilenkin, Making predictions in eternally inflating universe, Phys. Rev. D 52 (1995) 3365 [gr-qc/9505031].
  • [69] J. Garriga, D. Schwartz-Perlov, A. Vilenkin and S. Winitzki, Probabilities in the inflationary multiverse, JCAP 01 (2006) 017 [hep-th/0509184].
  • [70] K. Uehara, A. Escrivà, T. Harada, D. Saito and C.-M. Yoo, Numerical simulation of type II primordial black hole formation, JCAP 01 (2025) 003 [2401.06329].
  • [71] G. Cardano, Ars Magna, or, The Rules of Algebra, MIT Press, Cambridge, MA, mit press edition ed. (1968).
  • [72] M. Shibata and M. Sasaki, Black hole formation in the Friedmann universe: Formulation and computation in numerical relativity, Phys. Rev. D 60 (1999) 084002 [gr-qc/9905064].
  • [73] A. Escrivà and C.-M. Yoo, Primordial Black hole formation from overlapping cosmological fluctuations, JCAP 04 (2024) 048 [2310.16482].
  • [74] A. Escrivà, A new approach for simulating PBH formation from generic curvature fluctuations with the Misner-Sharp formalism, Phys. Dark Univ. 50 (2025) 102177 [2504.05813].
  • [75] A. Escrivà, Simulation of primordial black hole formation using pseudo-spectral methods, Physics of the Dark Universe 27 (2020) 100466.
  • [76] C.W. Misner and D.H. Sharp, Relativistic equations for adiabatic, spherically symmetric gravitational collapse, Phys. Rev. 136 (1964) B571.
  • [77] A. Escrivà, C. Germani and R.K. Sheth, Universal threshold for primordial black hole formation, Phys. Rev. D 101 (2020) 044022.
  • [78] A. Escrivà, Threshold for PBH formation in the type-II region and its analytical estimation, Phys. Rev. D 112 (2025) 103527 [2504.05814].
  • [79] J.M. Bardeen, J.R. Bond, N. Kaiser and A.S. Szalay, The Statistics of Peaks of Gaussian Random Fields, ApJ 304 (1986) 15.
  • [80] C.-M. Yoo, T. Harada, J. Garriga and K. Kohri, Primordial black hole abundance from random Gaussian curvature perturbations and a local density threshold, PTEP 2018 (2018) 123E01 [1805.03946].
  • [81] C.-M. Yoo, T. Harada, S. Hirano and K. Kohri, Abundance of Primordial Black Holes in Peak Theory for an Arbitrary Power Spectrum, PTEP 2021 (2021) 013E02 [2008.02425].
  • [82] N. Kitajima, Y. Tada, S. Yokoyama and C.-M. Yoo, Primordial black holes in peak theory with a non-Gaussian tail, JCAP 10 (2021) 053 [2109.00791].
  • [83] A. Escriva, Y. Tada and C.-M. Yoo, Primordial black holes and induced gravitational waves from a smooth crossover beyond standard model theories, Phys. Rev. D 110 (2024) 063521 [2311.17760].
  • [84] S. Pi, M. Sasaki, V. Takhistov and J. Wang, Primordial Black Hole formation from power spectrum with finite-width, JCAP 09 (2025) 045 [2501.00295].
  • [85] J.C. Niemeyer and K. Jedamzik, Dynamics of primordial black hole formation, Phys. Rev. D 59 (1999) 124013 [astro-ph/9901292].
  • [86] H. Deng and A. Vilenkin, Primordial black hole formation by vacuum bubbles, JCAP 12 (2017) 044 [1710.02865].
  • [87] A. Escrivà and C.-M. Yoo, Simulations of ellipsoidal primordial black hole formation, Phys. Rev. D 112 (2025) 083518 [2410.03452].
  • [88] R.-g. Cai, S. Pi and M. Sasaki, Gravitational Waves Induced by non-Gaussian Scalar Perturbations, Phys. Rev. Lett. 122 (2019) 201101 [1810.11000].
  • [89] C. Unal, Imprints of Primordial Non-Gaussianity on Gravitational Wave Spectrum, Phys. Rev. D 99 (2019) 041301 [1811.09151].
  • [90] N. Bartolo, V. De Luca, G. Franciolini, A. Lewis, M. Peloso and A. Riotto, Primordial Black Hole Dark Matter: LISA Serendipity, Phys. Rev. Lett. 122 (2019) 211301 [1810.12218].
  • [91] D. Cruces and C. Germani, Stochastic inflation at all order in slow-roll parameters: Foundations, Phys. Rev. D 105 (2022) 023533 [2107.12735].
  • [92] Y. Tada and V. Vennin, Statistics of coarse-grained cosmological fields in stochastic inflation, JCAP 02 (2022) 021 [2111.15280].
  • [93] C. Pattison, V. Vennin, D. Wands and H. Assadullahi, Ultra-slow-roll inflation with quantum diffusion, JCAP 04 (2021) 080 [2101.05741].
  • [94] D. Cruces, Review on Stochastic Approach to Inflation, Universe 8 (2022) 334 [2203.13852].
  • [95] S. Raatikainen, S. Räsänen and E. Tomberg, Primordial Black Hole Compaction Function from Stochastic Fluctuations in Ultraslow-Roll Inflation, Phys. Rev. Lett. 133 (2024) 121403 [2312.12911].
  • [96] E. Tomberg and K. Dimopoulos, Eternal inflation near inflection points: a challenge to primordial black hole models, 2507.15522.
  • [97] A. Caravano, K. Inomata and S. Renaux-Petel, Inflationary Butterfly Effect: Nonperturbative Dynamics from Small-Scale Features, Phys. Rev. Lett. 133 (2024) 151001 [2403.12811].
  • [98] A. Caravano, G. Franciolini and S. Renaux-Petel, Ultraslow-roll inflation on the lattice: Backreaction and nonlinear effects, Phys. Rev. D 111 (2025) 063518 [2410.23942].
  • [99] Y. Mizuguchi, T. Murata and Y. Tada, STOLAS: STOchastic LAttice Simulation of cosmic inflation, JCAP 12 (2024) 050 [2405.10692].
  • [100] S. Raatikainen, S. Rasanen and E. Tomberg, Effect of stochastic kicks on primordial black hole abundance and mass via the compaction function, 2510.09303.
  • [101] C. Animali, P. Auclair, B. Blachier and V. Vennin, Harvesting primordial black holes from stochastic trees with FOREST, JCAP 05 (2025) 019 [2501.05371].
  • [102] A. Caravano, G. Franciolini and S. Renaux-Petel, Ultraslow-roll inflation on the lattice. II. Nonperturbative curvature perturbation, Phys. Rev. D 112 (2025) 083508 [2506.11795].
  • [103] A. Escrivà and C.-M. Yoo, Nonspherical effects on the mass function of primordial black holes, Phys. Rev. D 112 (2025) L081304 [2410.03451].