Scalar shortcut to beyond-Kerr ringdown tests and their complementarity with black-hole shadow observations

Author(s)

Pani, Paolo, Sanna, Andrea P.

Abstract

The quasinormal modes of black holes (BHs) in the large-angular-momentum limit can be computed within the eikonal approximation. This approximation is often extrapolated to low angular momentum to obtain a rough estimate of the dominant ringdown modes. Although approximate, this approach is particularly convenient in theories beyond general relativity with intricate dynamics, or for phenomenological metrics that lack an underlying fundamental theory. Here we explore a complementary approximate strategy: we compute exactly the quasinormal modes of a test scalar field propagating on the BH background and use their \emph{deviations} from the general-relativity predictions as a proxy for the corresponding corrections to the gravitational quasinormal modes. For Kerr-Newman and Einstein-scalar-Gauss-Bonnet BHs, we show that this method reproduces the exact corrections (including the coupling among different degrees of freedom) within tens of percent, an accuracy that is adequate as long as ringdown measurements remain at the percent level. Furthermore, this method is typically comparable to, or more accurate than, the eikonal approximation. We then apply the same strategy to phenomenological metrics commonly employed in tests of gravity using BH imaging. By computing scalar quasinormal modes in a large family of these metrics for the first time, we find that current ringdown constraints are comparable to, and in some cases more stringent than, those derived from BH shadow observations, while also providing complementary bounds on sectors that would otherwise be inaccessible.

Figures

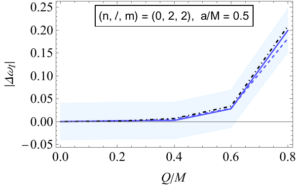
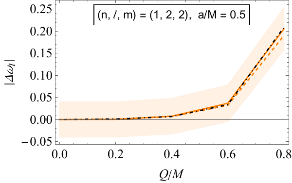
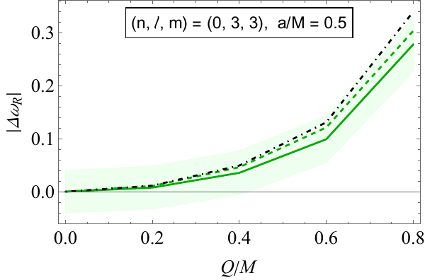
Plots of the absolute values of the relative deviations of Kerr--Newman QNMs from their Kerr counterparts as functions of $Q/M$. Both real and imaginary parts are shown. In all panels, the spin is fixed to $a/M = 0.5$. Solid and dashed lines correspond to gravitational and scalar results, respectively, while the dot-dashed black lines denote eikonal predictions. Shaded regions represent observationally motivated tolerance bands around the gravitational results, whose widths are given by the right-hand side of \cref{eq:BandWidth} with $X = 4\,\%$.
Caption Plots of the absolute values of the relative deviations of Kerr--Newman QNMs from their Kerr counterparts as functions of $Q/M$. Both real and imaginary parts are shown. In all panels, the spin is fixed to $a/M = 0.5$. Solid and dashed lines correspond to gravitational and scalar results, respectively, while the dot-dashed black lines denote eikonal predictions. Shaded regions represent observationally motivated tolerance bands around the gravitational results, whose widths are given by the right-hand side of \cref{eq:BandWidth} with $X = 4\,\%$.
Plots of the absolute values of the relative deviations of Kerr--Newman QNMs from their Kerr counterparts as functions of $Q/M$. Both real and imaginary parts are shown. In all panels, the spin is fixed to $a/M = 0.5$. Solid and dashed lines correspond to gravitational and scalar results, respectively, while the dot-dashed black lines denote eikonal predictions. Shaded regions represent observationally motivated tolerance bands around the gravitational results, whose widths are given by the right-hand side of \cref{eq:BandWidth} with $X = 4\,\%$.
Caption Plots of the absolute values of the relative deviations of Kerr--Newman QNMs from their Kerr counterparts as functions of $Q/M$. Both real and imaginary parts are shown. In all panels, the spin is fixed to $a/M = 0.5$. Solid and dashed lines correspond to gravitational and scalar results, respectively, while the dot-dashed black lines denote eikonal predictions. Shaded regions represent observationally motivated tolerance bands around the gravitational results, whose widths are given by the right-hand side of \cref{eq:BandWidth} with $X = 4\,\%$.
Plots of the absolute values of the relative deviations of Kerr--Newman QNMs from their Kerr counterparts as functions of $Q/M$. Both real and imaginary parts are shown. In all panels, the spin is fixed to $a/M = 0.5$. Solid and dashed lines correspond to gravitational and scalar results, respectively, while the dot-dashed black lines denote eikonal predictions. Shaded regions represent observationally motivated tolerance bands around the gravitational results, whose widths are given by the right-hand side of \cref{eq:BandWidth} with $X = 4\,\%$.
Caption Plots of the absolute values of the relative deviations of Kerr--Newman QNMs from their Kerr counterparts as functions of $Q/M$. Both real and imaginary parts are shown. In all panels, the spin is fixed to $a/M = 0.5$. Solid and dashed lines correspond to gravitational and scalar results, respectively, while the dot-dashed black lines denote eikonal predictions. Shaded regions represent observationally motivated tolerance bands around the gravitational results, whose widths are given by the right-hand side of \cref{eq:BandWidth} with $X = 4\,\%$.
Plots of the absolute values of the relative deviations of Kerr--Newman QNMs from their Kerr counterparts as functions of $Q/M$. Both real and imaginary parts are shown. In all panels, the spin is fixed to $a/M = 0.5$. Solid and dashed lines correspond to gravitational and scalar results, respectively, while the dot-dashed black lines denote eikonal predictions. Shaded regions represent observationally motivated tolerance bands around the gravitational results, whose widths are given by the right-hand side of \cref{eq:BandWidth} with $X = 4\,\%$.
Caption Plots of the absolute values of the relative deviations of Kerr--Newman QNMs from their Kerr counterparts as functions of $Q/M$. Both real and imaginary parts are shown. In all panels, the spin is fixed to $a/M = 0.5$. Solid and dashed lines correspond to gravitational and scalar results, respectively, while the dot-dashed black lines denote eikonal predictions. Shaded regions represent observationally motivated tolerance bands around the gravitational results, whose widths are given by the right-hand side of \cref{eq:BandWidth} with $X = 4\,\%$.
Plots of the absolute values of the relative deviations of Kerr--Newman QNMs from their Kerr counterparts as functions of $Q/M$. Both real and imaginary parts are shown. In all panels, the spin is fixed to $a/M = 0.5$. Solid and dashed lines correspond to gravitational and scalar results, respectively, while the dot-dashed black lines denote eikonal predictions. Shaded regions represent observationally motivated tolerance bands around the gravitational results, whose widths are given by the right-hand side of \cref{eq:BandWidth} with $X = 4\,\%$.
Caption Plots of the absolute values of the relative deviations of Kerr--Newman QNMs from their Kerr counterparts as functions of $Q/M$. Both real and imaginary parts are shown. In all panels, the spin is fixed to $a/M = 0.5$. Solid and dashed lines correspond to gravitational and scalar results, respectively, while the dot-dashed black lines denote eikonal predictions. Shaded regions represent observationally motivated tolerance bands around the gravitational results, whose widths are given by the right-hand side of \cref{eq:BandWidth} with $X = 4\,\%$.
Plots of the absolute values of the relative deviations of Kerr--Newman QNMs from their Kerr counterparts as functions of $Q/M$. Both real and imaginary parts are shown. In all panels, the spin is fixed to $a/M = 0.5$. Solid and dashed lines correspond to gravitational and scalar results, respectively, while the dot-dashed black lines denote eikonal predictions. Shaded regions represent observationally motivated tolerance bands around the gravitational results, whose widths are given by the right-hand side of \cref{eq:BandWidth} with $X = 4\,\%$.
Caption Plots of the absolute values of the relative deviations of Kerr--Newman QNMs from their Kerr counterparts as functions of $Q/M$. Both real and imaginary parts are shown. In all panels, the spin is fixed to $a/M = 0.5$. Solid and dashed lines correspond to gravitational and scalar results, respectively, while the dot-dashed black lines denote eikonal predictions. Shaded regions represent observationally motivated tolerance bands around the gravitational results, whose widths are given by the right-hand side of \cref{eq:BandWidth} with $X = 4\,\%$.
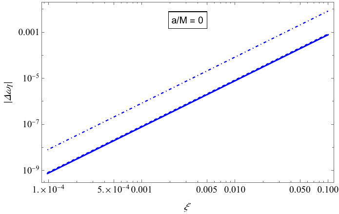
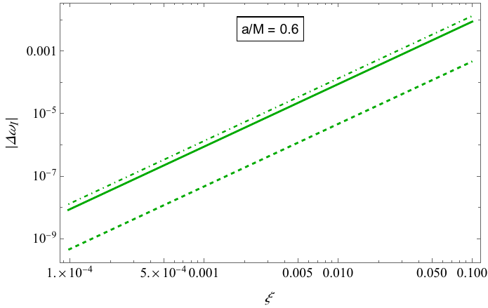
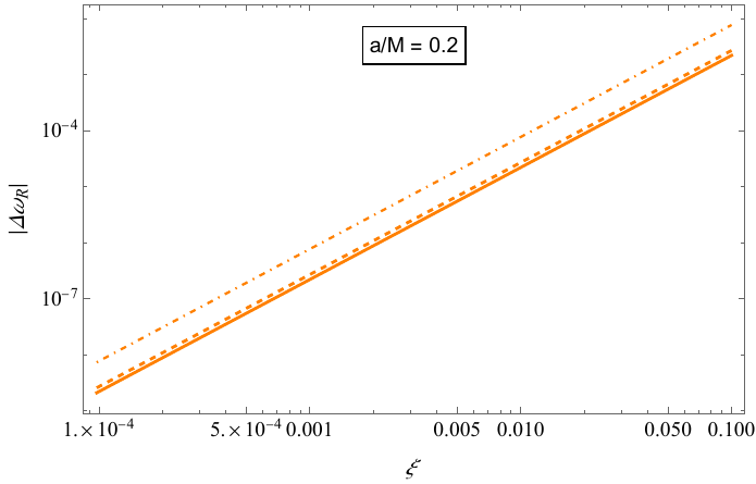
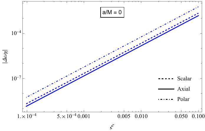
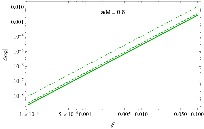
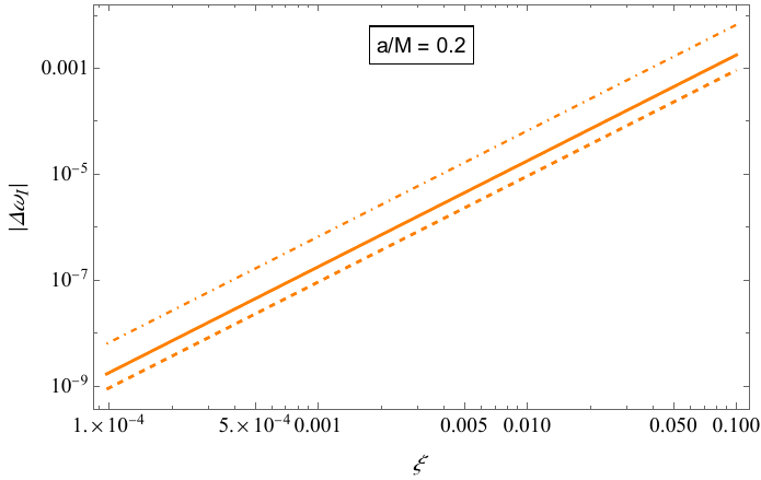
Log--log plots of the absolute values of the relative deviations of the frequencies of the mode $(0, 2, 2)$ for rotating BHs in shift-symmetric EsGB gravity from their Kerr counterparts. Both real and imaginary parts are shown as functions of the dimensionless coupling constant $\xi$, for the representative values $a/M = 0, \, 0.2, \, 0.6$. Dashed, solid and dot-dashed lines correspond to test-scalar, axial and polar gravitational results, respectively.
Caption Log--log plots of the absolute values of the relative deviations of the frequencies of the mode $(0, 2, 2)$ for rotating BHs in shift-symmetric EsGB gravity from their Kerr counterparts. Both real and imaginary parts are shown as functions of the dimensionless coupling constant $\xi$, for the representative values $a/M = 0, \, 0.2, \, 0.6$. Dashed, solid and dot-dashed lines correspond to test-scalar, axial and polar gravitational results, respectively.
Log--log plots of the absolute values of the relative deviations of the frequencies of the mode $(0, 2, 2)$ for rotating BHs in shift-symmetric EsGB gravity from their Kerr counterparts. Both real and imaginary parts are shown as functions of the dimensionless coupling constant $\xi$, for the representative values $a/M = 0, \, 0.2, \, 0.6$. Dashed, solid and dot-dashed lines correspond to test-scalar, axial and polar gravitational results, respectively.
Caption Log--log plots of the absolute values of the relative deviations of the frequencies of the mode $(0, 2, 2)$ for rotating BHs in shift-symmetric EsGB gravity from their Kerr counterparts. Both real and imaginary parts are shown as functions of the dimensionless coupling constant $\xi$, for the representative values $a/M = 0, \, 0.2, \, 0.6$. Dashed, solid and dot-dashed lines correspond to test-scalar, axial and polar gravitational results, respectively.
Log--log plots of the absolute values of the relative deviations of the frequencies of the mode $(0, 2, 2)$ for rotating BHs in shift-symmetric EsGB gravity from their Kerr counterparts. Both real and imaginary parts are shown as functions of the dimensionless coupling constant $\xi$, for the representative values $a/M = 0, \, 0.2, \, 0.6$. Dashed, solid and dot-dashed lines correspond to test-scalar, axial and polar gravitational results, respectively.
Caption Log--log plots of the absolute values of the relative deviations of the frequencies of the mode $(0, 2, 2)$ for rotating BHs in shift-symmetric EsGB gravity from their Kerr counterparts. Both real and imaginary parts are shown as functions of the dimensionless coupling constant $\xi$, for the representative values $a/M = 0, \, 0.2, \, 0.6$. Dashed, solid and dot-dashed lines correspond to test-scalar, axial and polar gravitational results, respectively.
Log--log plots of the absolute values of the relative deviations of the frequencies of the mode $(0, 2, 2)$ for rotating BHs in shift-symmetric EsGB gravity from their Kerr counterparts. Both real and imaginary parts are shown as functions of the dimensionless coupling constant $\xi$, for the representative values $a/M = 0, \, 0.2, \, 0.6$. Dashed, solid and dot-dashed lines correspond to test-scalar, axial and polar gravitational results, respectively.
Caption Log--log plots of the absolute values of the relative deviations of the frequencies of the mode $(0, 2, 2)$ for rotating BHs in shift-symmetric EsGB gravity from their Kerr counterparts. Both real and imaginary parts are shown as functions of the dimensionless coupling constant $\xi$, for the representative values $a/M = 0, \, 0.2, \, 0.6$. Dashed, solid and dot-dashed lines correspond to test-scalar, axial and polar gravitational results, respectively.
Log--log plots of the absolute values of the relative deviations of the frequencies of the mode $(0, 2, 2)$ for rotating BHs in shift-symmetric EsGB gravity from their Kerr counterparts. Both real and imaginary parts are shown as functions of the dimensionless coupling constant $\xi$, for the representative values $a/M = 0, \, 0.2, \, 0.6$. Dashed, solid and dot-dashed lines correspond to test-scalar, axial and polar gravitational results, respectively.
Caption Log--log plots of the absolute values of the relative deviations of the frequencies of the mode $(0, 2, 2)$ for rotating BHs in shift-symmetric EsGB gravity from their Kerr counterparts. Both real and imaginary parts are shown as functions of the dimensionless coupling constant $\xi$, for the representative values $a/M = 0, \, 0.2, \, 0.6$. Dashed, solid and dot-dashed lines correspond to test-scalar, axial and polar gravitational results, respectively.
Log--log plots of the absolute values of the relative deviations of the frequencies of the mode $(0, 2, 2)$ for rotating BHs in shift-symmetric EsGB gravity from their Kerr counterparts. Both real and imaginary parts are shown as functions of the dimensionless coupling constant $\xi$, for the representative values $a/M = 0, \, 0.2, \, 0.6$. Dashed, solid and dot-dashed lines correspond to test-scalar, axial and polar gravitational results, respectively.
Caption Log--log plots of the absolute values of the relative deviations of the frequencies of the mode $(0, 2, 2)$ for rotating BHs in shift-symmetric EsGB gravity from their Kerr counterparts. Both real and imaginary parts are shown as functions of the dimensionless coupling constant $\xi$, for the representative values $a/M = 0, \, 0.2, \, 0.6$. Dashed, solid and dot-dashed lines correspond to test-scalar, axial and polar gravitational results, respectively.
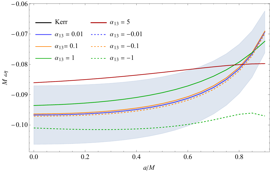
Real (top) and imaginary (bottom) parts of the QNM frequencies for the Johannsen metric \eqref{eq:JohannsenMetric} with $A_2 = A_5 = 1$. Results are shown as functions of the dimensionless spin $a/M$ for several values of the deformation parameter $\alpha_{13}$. Solid and dashed curves correspond to positive and negative values of $\alpha_{13}$, respectively. The Kerr scalar QNMs (black solid line) are also shown for comparison, but are nearly indistinguishable from the curves with $|\alpha_{13}|\sim 10^{-2}$. The blue shaded regions denote the $\pm 4\,\%$ and $\pm 10\,\%$ bands around the Kerr results for the real and imaginary parts, respectively.
Caption Real (top) and imaginary (bottom) parts of the QNM frequencies for the Johannsen metric \eqref{eq:JohannsenMetric} with $A_2 = A_5 = 1$. Results are shown as functions of the dimensionless spin $a/M$ for several values of the deformation parameter $\alpha_{13}$. Solid and dashed curves correspond to positive and negative values of $\alpha_{13}$, respectively. The Kerr scalar QNMs (black solid line) are also shown for comparison, but are nearly indistinguishable from the curves with $|\alpha_{13}|\sim 10^{-2}$. The blue shaded regions denote the $\pm 4\,\%$ and $\pm 10\,\%$ bands around the Kerr results for the real and imaginary parts, respectively.
Real (top) and imaginary (bottom) parts of the QNM frequencies for the Johannsen metric \eqref{eq:JohannsenMetric} with $A_2 = A_5 = 1$. Results are shown as functions of the dimensionless spin $a/M$ for several values of the deformation parameter $\alpha_{13}$. Solid and dashed curves correspond to positive and negative values of $\alpha_{13}$, respectively. The Kerr scalar QNMs (black solid line) are also shown for comparison, but are nearly indistinguishable from the curves with $|\alpha_{13}|\sim 10^{-2}$. The blue shaded regions denote the $\pm 4\,\%$ and $\pm 10\,\%$ bands around the Kerr results for the real and imaginary parts, respectively.
Caption Real (top) and imaginary (bottom) parts of the QNM frequencies for the Johannsen metric \eqref{eq:JohannsenMetric} with $A_2 = A_5 = 1$. Results are shown as functions of the dimensionless spin $a/M$ for several values of the deformation parameter $\alpha_{13}$. Solid and dashed curves correspond to positive and negative values of $\alpha_{13}$, respectively. The Kerr scalar QNMs (black solid line) are also shown for comparison, but are nearly indistinguishable from the curves with $|\alpha_{13}|\sim 10^{-2}$. The blue shaded regions denote the $\pm 4\,\%$ and $\pm 10\,\%$ bands around the Kerr results for the real and imaginary parts, respectively.
Real (top) and imaginary (bottom) parts of the QNM frequencies for the Johannsen metric \eqref{eq:JohannsenMetric} with $A_1 = A_5 = 1$. Results are shown as functions of the dimensionless spin $a/M$ for several values of the deformation parameter $\alpha_{22}$. Solid and dashed curves correspond to positive and negative values of $\alpha_{22}$, respectively. The Kerr scalar QNMs (black solid line) are also displayed, but are nearly indistinguishable from the curves with $|\alpha_{22}|\sim 10^{-2}$. The blue shaded regions denote the $\pm 4\,\%$ and $\pm 10\,\%$ bands around the Kerr results for the real and imaginary parts, respectively.
Caption Real (top) and imaginary (bottom) parts of the QNM frequencies for the Johannsen metric \eqref{eq:JohannsenMetric} with $A_1 = A_5 = 1$. Results are shown as functions of the dimensionless spin $a/M$ for several values of the deformation parameter $\alpha_{22}$. Solid and dashed curves correspond to positive and negative values of $\alpha_{22}$, respectively. The Kerr scalar QNMs (black solid line) are also displayed, but are nearly indistinguishable from the curves with $|\alpha_{22}|\sim 10^{-2}$. The blue shaded regions denote the $\pm 4\,\%$ and $\pm 10\,\%$ bands around the Kerr results for the real and imaginary parts, respectively.
Real (top) and imaginary (bottom) parts of the QNM frequencies for the Johannsen metric \eqref{eq:JohannsenMetric} with $A_1 = A_5 = 1$. Results are shown as functions of the dimensionless spin $a/M$ for several values of the deformation parameter $\alpha_{22}$. Solid and dashed curves correspond to positive and negative values of $\alpha_{22}$, respectively. The Kerr scalar QNMs (black solid line) are also displayed, but are nearly indistinguishable from the curves with $|\alpha_{22}|\sim 10^{-2}$. The blue shaded regions denote the $\pm 4\,\%$ and $\pm 10\,\%$ bands around the Kerr results for the real and imaginary parts, respectively.
Caption Real (top) and imaginary (bottom) parts of the QNM frequencies for the Johannsen metric \eqref{eq:JohannsenMetric} with $A_1 = A_5 = 1$. Results are shown as functions of the dimensionless spin $a/M$ for several values of the deformation parameter $\alpha_{22}$. Solid and dashed curves correspond to positive and negative values of $\alpha_{22}$, respectively. The Kerr scalar QNMs (black solid line) are also displayed, but are nearly indistinguishable from the curves with $|\alpha_{22}|\sim 10^{-2}$. The blue shaded regions denote the $\pm 4\,\%$ and $\pm 10\,\%$ bands around the Kerr results for the real and imaginary parts, respectively.
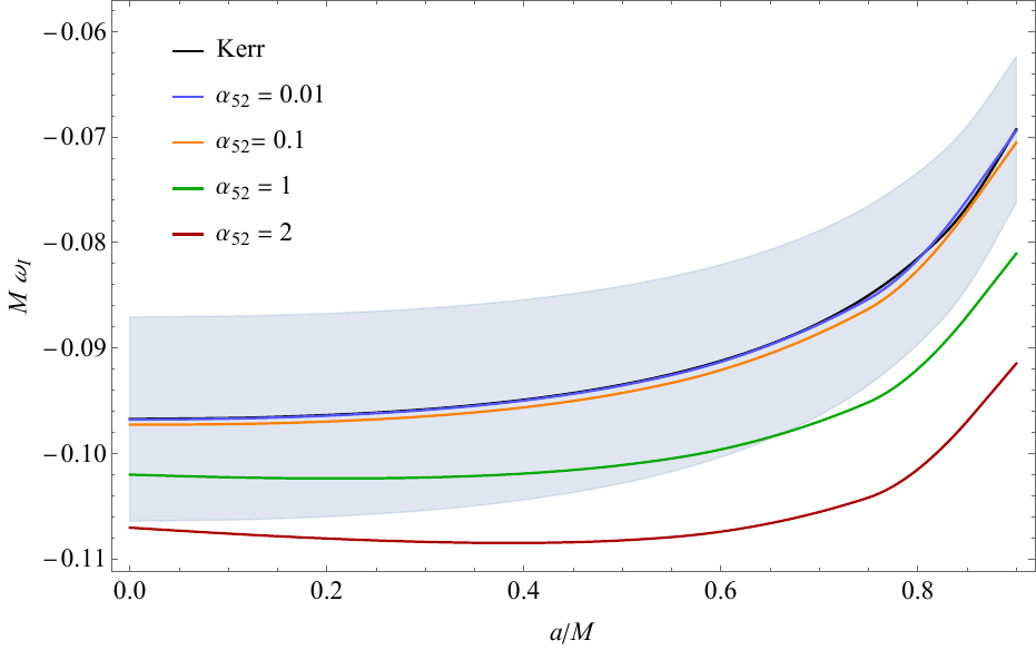
Real (top) and imaginary (bottom) parts of the QNM frequencies for the Johannsen metric \eqref{eq:JohannsenMetric} with $A_1 = A_2 = 1$. The frequencies are shown as functions of the dimensionless spin $a/M$ for several values of the deformation parameter $\alpha_{52}$. The scalar QNMs of the Kerr spacetime (black solid line) are included for comparison. The real parts of the modified frequencies are nearly indistinguishable from the Kerr ones. For the imaginary parts, the Kerr curve and the case with $\alpha_{52}\sim 10^{-2}$ are almost overlapping. The blue shaded regions denote the $\pm 4\,\%$ and $\pm 10\,\%$ bands around the Kerr results for the real and imaginary parts, respectively.
Caption Real (top) and imaginary (bottom) parts of the QNM frequencies for the Johannsen metric \eqref{eq:JohannsenMetric} with $A_1 = A_2 = 1$. The frequencies are shown as functions of the dimensionless spin $a/M$ for several values of the deformation parameter $\alpha_{52}$. The scalar QNMs of the Kerr spacetime (black solid line) are included for comparison. The real parts of the modified frequencies are nearly indistinguishable from the Kerr ones. For the imaginary parts, the Kerr curve and the case with $\alpha_{52}\sim 10^{-2}$ are almost overlapping. The blue shaded regions denote the $\pm 4\,\%$ and $\pm 10\,\%$ bands around the Kerr results for the real and imaginary parts, respectively.
Real (top) and imaginary (bottom) parts of the QNM frequencies for the Johannsen metric \eqref{eq:JohannsenMetric} with $A_1 = A_2 = 1$. The frequencies are shown as functions of the dimensionless spin $a/M$ for several values of the deformation parameter $\alpha_{52}$. The scalar QNMs of the Kerr spacetime (black solid line) are included for comparison. The real parts of the modified frequencies are nearly indistinguishable from the Kerr ones. For the imaginary parts, the Kerr curve and the case with $\alpha_{52}\sim 10^{-2}$ are almost overlapping. The blue shaded regions denote the $\pm 4\,\%$ and $\pm 10\,\%$ bands around the Kerr results for the real and imaginary parts, respectively.
Caption Real (top) and imaginary (bottom) parts of the QNM frequencies for the Johannsen metric \eqref{eq:JohannsenMetric} with $A_1 = A_2 = 1$. The frequencies are shown as functions of the dimensionless spin $a/M$ for several values of the deformation parameter $\alpha_{52}$. The scalar QNMs of the Kerr spacetime (black solid line) are included for comparison. The real parts of the modified frequencies are nearly indistinguishable from the Kerr ones. For the imaginary parts, the Kerr curve and the case with $\alpha_{52}\sim 10^{-2}$ are almost overlapping. The blue shaded regions denote the $\pm 4\,\%$ and $\pm 10\,\%$ bands around the Kerr results for the real and imaginary parts, respectively.
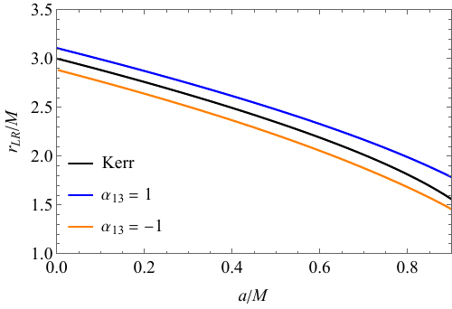
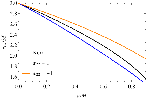
Top panel: light-ring radius as a function of $a/M$ for different values of $\alpha_{13}$, with $\alpha_{22} = 0$. The black line corresponds to $\alpha_{13} = 0$ (Kerr), while the blue and orange curves correspond to $\alpha_{13} = 1$ and $-1$, respectively. Bottom panel: same as the top panel, but with $\alpha_{13} = 0$ and varying $\alpha_{22}$. The color code is the same.
Caption Top panel: light-ring radius as a function of $a/M$ for different values of $\alpha_{13}$, with $\alpha_{22} = 0$. The black line corresponds to $\alpha_{13} = 0$ (Kerr), while the blue and orange curves correspond to $\alpha_{13} = 1$ and $-1$, respectively. Bottom panel: same as the top panel, but with $\alpha_{13} = 0$ and varying $\alpha_{22}$. The color code is the same.
Top panel: light-ring radius as a function of $a/M$ for different values of $\alpha_{13}$, with $\alpha_{22} = 0$. The black line corresponds to $\alpha_{13} = 0$ (Kerr), while the blue and orange curves correspond to $\alpha_{13} = 1$ and $-1$, respectively. Bottom panel: same as the top panel, but with $\alpha_{13} = 0$ and varying $\alpha_{22}$. The color code is the same.
Caption Top panel: light-ring radius as a function of $a/M$ for different values of $\alpha_{13}$, with $\alpha_{22} = 0$. The black line corresponds to $\alpha_{13} = 0$ (Kerr), while the blue and orange curves correspond to $\alpha_{13} = 1$ and $-1$, respectively. Bottom panel: same as the top panel, but with $\alpha_{13} = 0$ and varying $\alpha_{22}$. The color code is the same.
Plots of the absolute values of the relative deviations of the considered Kerr-Newman QNMs from Kerr results, shown as functions of $Q/M$. Results of both real and imaginary parts are shown. For all figures, we fixed $a/M = 0$. Solid and dashed lines refer to gravitational and scalar results, while the dot-dashed black line to eikonal ones. Shaded regions indicate bands around the gravitational results for the real and imaginary parts; their widths are given by the right-hand-side of \cref{eq:BandWidth} with $X = 4\, \%$.
Caption Plots of the absolute values of the relative deviations of the considered Kerr-Newman QNMs from Kerr results, shown as functions of $Q/M$. Results of both real and imaginary parts are shown. For all figures, we fixed $a/M = 0$. Solid and dashed lines refer to gravitational and scalar results, while the dot-dashed black line to eikonal ones. Shaded regions indicate bands around the gravitational results for the real and imaginary parts; their widths are given by the right-hand-side of \cref{eq:BandWidth} with $X = 4\, \%$.
Plots of the absolute values of the relative deviations of the considered Kerr-Newman QNMs from Kerr results, shown as functions of $Q/M$. Results of both real and imaginary parts are shown. For all figures, we fixed $a/M = 0$. Solid and dashed lines refer to gravitational and scalar results, while the dot-dashed black line to eikonal ones. Shaded regions indicate bands around the gravitational results for the real and imaginary parts; their widths are given by the right-hand-side of \cref{eq:BandWidth} with $X = 4\, \%$.
Caption Plots of the absolute values of the relative deviations of the considered Kerr-Newman QNMs from Kerr results, shown as functions of $Q/M$. Results of both real and imaginary parts are shown. For all figures, we fixed $a/M = 0$. Solid and dashed lines refer to gravitational and scalar results, while the dot-dashed black line to eikonal ones. Shaded regions indicate bands around the gravitational results for the real and imaginary parts; their widths are given by the right-hand-side of \cref{eq:BandWidth} with $X = 4\, \%$.
Plots of the absolute values of the relative deviations of the considered Kerr-Newman QNMs from Kerr results, shown as functions of $Q/M$. Results of both real and imaginary parts are shown. For all figures, we fixed $a/M = 0$. Solid and dashed lines refer to gravitational and scalar results, while the dot-dashed black line to eikonal ones. Shaded regions indicate bands around the gravitational results for the real and imaginary parts; their widths are given by the right-hand-side of \cref{eq:BandWidth} with $X = 4\, \%$.
Caption Plots of the absolute values of the relative deviations of the considered Kerr-Newman QNMs from Kerr results, shown as functions of $Q/M$. Results of both real and imaginary parts are shown. For all figures, we fixed $a/M = 0$. Solid and dashed lines refer to gravitational and scalar results, while the dot-dashed black line to eikonal ones. Shaded regions indicate bands around the gravitational results for the real and imaginary parts; their widths are given by the right-hand-side of \cref{eq:BandWidth} with $X = 4\, \%$.
Plots of the absolute values of the relative deviations of the considered Kerr-Newman QNMs from Kerr results, shown as functions of $Q/M$. Results of both real and imaginary parts are shown. For all figures, we fixed $a/M = 0$. Solid and dashed lines refer to gravitational and scalar results, while the dot-dashed black line to eikonal ones. Shaded regions indicate bands around the gravitational results for the real and imaginary parts; their widths are given by the right-hand-side of \cref{eq:BandWidth} with $X = 4\, \%$.
Caption Plots of the absolute values of the relative deviations of the considered Kerr-Newman QNMs from Kerr results, shown as functions of $Q/M$. Results of both real and imaginary parts are shown. For all figures, we fixed $a/M = 0$. Solid and dashed lines refer to gravitational and scalar results, while the dot-dashed black line to eikonal ones. Shaded regions indicate bands around the gravitational results for the real and imaginary parts; their widths are given by the right-hand-side of \cref{eq:BandWidth} with $X = 4\, \%$.
Plots of the absolute values of the relative deviations of the considered Kerr-Newman QNMs from Kerr results, shown as functions of $Q/M$. Results of both real and imaginary parts are shown. For all figures, we fixed $a/M = 0$. Solid and dashed lines refer to gravitational and scalar results, while the dot-dashed black line to eikonal ones. Shaded regions indicate bands around the gravitational results for the real and imaginary parts; their widths are given by the right-hand-side of \cref{eq:BandWidth} with $X = 4\, \%$.
Caption Plots of the absolute values of the relative deviations of the considered Kerr-Newman QNMs from Kerr results, shown as functions of $Q/M$. Results of both real and imaginary parts are shown. For all figures, we fixed $a/M = 0$. Solid and dashed lines refer to gravitational and scalar results, while the dot-dashed black line to eikonal ones. Shaded regions indicate bands around the gravitational results for the real and imaginary parts; their widths are given by the right-hand-side of \cref{eq:BandWidth} with $X = 4\, \%$.
Plots of the absolute values of the relative deviations of the considered Kerr-Newman QNMs from Kerr results, shown as functions of $Q/M$. Results of both real and imaginary parts are shown. For all figures, we fixed $a/M = 0$. Solid and dashed lines refer to gravitational and scalar results, while the dot-dashed black line to eikonal ones. Shaded regions indicate bands around the gravitational results for the real and imaginary parts; their widths are given by the right-hand-side of \cref{eq:BandWidth} with $X = 4\, \%$.
Caption Plots of the absolute values of the relative deviations of the considered Kerr-Newman QNMs from Kerr results, shown as functions of $Q/M$. Results of both real and imaginary parts are shown. For all figures, we fixed $a/M = 0$. Solid and dashed lines refer to gravitational and scalar results, while the dot-dashed black line to eikonal ones. Shaded regions indicate bands around the gravitational results for the real and imaginary parts; their widths are given by the right-hand-side of \cref{eq:BandWidth} with $X = 4\, \%$.
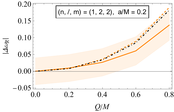
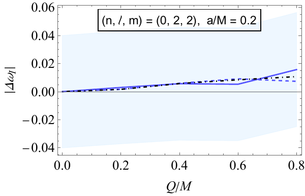
Plots of the absolute values of the relative deviations of the considered Kerr-Newman QNMs from Kerr results, shown as functions of $Q/M$. Results of both real and imaginary parts are shown. For all figures, we fixed $a/M = 0.2$. Solid and dashed lines refer to gravitational and scalar results, while the dot-dashed black line to eikonal ones. Shaded regions indicate bands around the gravitational results for the real and imaginary parts; their widths are given by the right-hand-side of \cref{eq:BandWidth} with $X = 4\, \%$.
Caption Plots of the absolute values of the relative deviations of the considered Kerr-Newman QNMs from Kerr results, shown as functions of $Q/M$. Results of both real and imaginary parts are shown. For all figures, we fixed $a/M = 0.2$. Solid and dashed lines refer to gravitational and scalar results, while the dot-dashed black line to eikonal ones. Shaded regions indicate bands around the gravitational results for the real and imaginary parts; their widths are given by the right-hand-side of \cref{eq:BandWidth} with $X = 4\, \%$.
Plots of the absolute values of the relative deviations of the considered Kerr-Newman QNMs from Kerr results, shown as functions of $Q/M$. Results of both real and imaginary parts are shown. For all figures, we fixed $a/M = 0.2$. Solid and dashed lines refer to gravitational and scalar results, while the dot-dashed black line to eikonal ones. Shaded regions indicate bands around the gravitational results for the real and imaginary parts; their widths are given by the right-hand-side of \cref{eq:BandWidth} with $X = 4\, \%$.
Caption Plots of the absolute values of the relative deviations of the considered Kerr-Newman QNMs from Kerr results, shown as functions of $Q/M$. Results of both real and imaginary parts are shown. For all figures, we fixed $a/M = 0.2$. Solid and dashed lines refer to gravitational and scalar results, while the dot-dashed black line to eikonal ones. Shaded regions indicate bands around the gravitational results for the real and imaginary parts; their widths are given by the right-hand-side of \cref{eq:BandWidth} with $X = 4\, \%$.
Plots of the absolute values of the relative deviations of the considered Kerr-Newman QNMs from Kerr results, shown as functions of $Q/M$. Results of both real and imaginary parts are shown. For all figures, we fixed $a/M = 0.2$. Solid and dashed lines refer to gravitational and scalar results, while the dot-dashed black line to eikonal ones. Shaded regions indicate bands around the gravitational results for the real and imaginary parts; their widths are given by the right-hand-side of \cref{eq:BandWidth} with $X = 4\, \%$.
Caption Plots of the absolute values of the relative deviations of the considered Kerr-Newman QNMs from Kerr results, shown as functions of $Q/M$. Results of both real and imaginary parts are shown. For all figures, we fixed $a/M = 0.2$. Solid and dashed lines refer to gravitational and scalar results, while the dot-dashed black line to eikonal ones. Shaded regions indicate bands around the gravitational results for the real and imaginary parts; their widths are given by the right-hand-side of \cref{eq:BandWidth} with $X = 4\, \%$.
Plots of the absolute values of the relative deviations of the considered Kerr-Newman QNMs from Kerr results, shown as functions of $Q/M$. Results of both real and imaginary parts are shown. For all figures, we fixed $a/M = 0.2$. Solid and dashed lines refer to gravitational and scalar results, while the dot-dashed black line to eikonal ones. Shaded regions indicate bands around the gravitational results for the real and imaginary parts; their widths are given by the right-hand-side of \cref{eq:BandWidth} with $X = 4\, \%$.
Caption Plots of the absolute values of the relative deviations of the considered Kerr-Newman QNMs from Kerr results, shown as functions of $Q/M$. Results of both real and imaginary parts are shown. For all figures, we fixed $a/M = 0.2$. Solid and dashed lines refer to gravitational and scalar results, while the dot-dashed black line to eikonal ones. Shaded regions indicate bands around the gravitational results for the real and imaginary parts; their widths are given by the right-hand-side of \cref{eq:BandWidth} with $X = 4\, \%$.
Plots of the absolute values of the relative deviations of the considered Kerr-Newman QNMs from Kerr results, shown as functions of $Q/M$. Results of both real and imaginary parts are shown. For all figures, we fixed $a/M = 0.2$. Solid and dashed lines refer to gravitational and scalar results, while the dot-dashed black line to eikonal ones. Shaded regions indicate bands around the gravitational results for the real and imaginary parts; their widths are given by the right-hand-side of \cref{eq:BandWidth} with $X = 4\, \%$.
Caption Plots of the absolute values of the relative deviations of the considered Kerr-Newman QNMs from Kerr results, shown as functions of $Q/M$. Results of both real and imaginary parts are shown. For all figures, we fixed $a/M = 0.2$. Solid and dashed lines refer to gravitational and scalar results, while the dot-dashed black line to eikonal ones. Shaded regions indicate bands around the gravitational results for the real and imaginary parts; their widths are given by the right-hand-side of \cref{eq:BandWidth} with $X = 4\, \%$.
Plots of the absolute values of the relative deviations of the considered Kerr-Newman QNMs from Kerr results, shown as functions of $Q/M$. Results of both real and imaginary parts are shown. For all figures, we fixed $a/M = 0.2$. Solid and dashed lines refer to gravitational and scalar results, while the dot-dashed black line to eikonal ones. Shaded regions indicate bands around the gravitational results for the real and imaginary parts; their widths are given by the right-hand-side of \cref{eq:BandWidth} with $X = 4\, \%$.
Caption Plots of the absolute values of the relative deviations of the considered Kerr-Newman QNMs from Kerr results, shown as functions of $Q/M$. Results of both real and imaginary parts are shown. For all figures, we fixed $a/M = 0.2$. Solid and dashed lines refer to gravitational and scalar results, while the dot-dashed black line to eikonal ones. Shaded regions indicate bands around the gravitational results for the real and imaginary parts; their widths are given by the right-hand-side of \cref{eq:BandWidth} with $X = 4\, \%$.
References
  • [1] B. P. Abbott et al. (LIGO Scientific, Virgo), Phys. Rev. Lett. 116, 061102 (2016), arXiv:1602.03837 [gr-qc].
  • [2] B. P. Abbott et al. (LIGO Scientific, Virgo), Phys. Rev. Lett. 116, 241103 (2016), arXiv:1606.04855 [gr-qc].
  • [3] R. Abbott et al. (LIGO Scientific, Virgo), Phys. Rev. X 11, 021053 (2021), arXiv:2010.14527 [gr-qc].
  • [4] C. V. Vishveshwara, Nature 227, 936 (1970).
  • [5] W. H. Press, Astrophys. J. Lett. 170, L105 (1971).
  • [6] S. A. Teukolsky, Astrophys. J. 185, 635 (1973).
  • [7] S. Chandrasekhar and S. L. Detweiler, Proc. Roy. Soc. Lond. A 344, 441 (1975).
  • [8] E. Berti, V. Cardoso, and A. O. Starinets, Class. Quant. Grav. 26, 163001 (2009), arXiv:0905.2975 [gr-qc].
  • [9] O. Dreyer, B. J. Kelly, B. Krishnan, L. S. Finn, D. Garrison, and R. Lopez-Aleman, Class. Quant. Grav. 21, 787 (2004), arXiv:gr-qc/0309007.
  • [10] E. Berti, V. Cardoso, and C. M. Will, Phys. Rev. D 73, 064030 (2006), arXiv:gr-qc/0512160.
  • [11] S. Gossan, J. Veitch, and B. S. Sathyaprakash, Phys. Rev. D 85, 124056 (2012), arXiv:1111.5819 [gr-qc].
  • [12] E. Berti, A. Sesana, E. Barausse, V. Cardoso, and K. Belczynski, Phys. Rev. Lett. 117, 101102 (2016), arXiv:1605.09286 [gr-qc].
  • [13] V. Cardoso and P. Pani, Living Rev. Rel. 22, 4 (2019), arXiv:1904.05363 [gr-qc].
  • [14] E. Maggio, P. Pani, and G. Raposo, “Testing the nature of dark compact objects with gravitational waves,” in Handbook of Gravitational Wave Astronomy, edited by C. Bambi, S. Katsanevas, and K. D. Kokkotas (Springer Singapore, Singapore, 2020) pp. 1–37.
  • [15] A. G. Abac et al. (LIGO Scientific, Virgo, KAGRA), Phys. Rev. Lett. 135, 111403 (2025), arXiv:2509.08054 [gr-qc].
  • [16] A. G. Abac et al. (LIGO Scientific, Virgo, KAGRA), Phys. Rev. Lett. 136, 041403 (2026), arXiv:2509.08099 [gr-qc].
  • [17] J. Abedi et al., (2025), arXiv:2505.23895 [gr-qc].
  • [18] M. Maggiore et al. (ET), JCAP 03, 050 (2020), arXiv:1912.02622 [astro-ph.CO].
  • [19] M. Branchesi et al., JCAP 07, 068 (2023), arXiv:2303.15923 [gr-qc].
  • [20] A. Abac et al. (ET), (2025), arXiv:2503.12263 [gr-qc].
  • [21] D. Reitze et al., Bull. Am. Astron. Soc. 51, 035 (2019), arXiv:1907.04833 [astro-ph.IM].
  • [22] M. Evans et al., (2021), arXiv:2109.09882 [astro-ph.IM].
  • [23] M. Colpi et al. (LISA), (2024), arXiv:2402.07571 [astroph.CO].
  • [24] P. Pani and V. Cardoso, Phys. Rev. D 79, 084031 (2009), arXiv:0902.1569 [gr-qc].
  • [25] V. Cardoso and L. Gualtieri, Phys. Rev. D 80, 064008 (2009), [Erratum: Phys.Rev.D 81, 089903 (2010)], arXiv:0907.5008 [gr-qc].
  • [25] V. Cardoso and L. Gualtieri, Phys. Rev. D 80, 064008 (2009), [Erratum: Phys.Rev.D 81, 089903 (2010)], arXiv:0907.5008 [gr-qc].
  • [26] C. Molina, P. Pani, V. Cardoso, and L. Gualtieri, Phys. Rev. D 81, 124021 (2010), arXiv:1004.4007 [gr-qc].
  • [27] P. Pani, E. Berti, and L. Gualtieri, Phys. Rev. Lett. 110, 241103 (2013), arXiv:1304.1160 [gr-qc].
  • [28] P. Pani, E. Berti, and L. Gualtieri, Phys. Rev. D 88, 064048 (2013), arXiv:1307.7315 [gr-qc].
  • [29] L. Pierini and L. Gualtieri, Phys. Rev. D 103, 124017 (2021), arXiv:2103.09870 [gr-qc].
  • [30] P. Wagle, N. Yunes, and H. O. Silva, Phys. Rev. D 105, 124003 (2022), arXiv:2103.09913 [gr-qc].
  • [31] P. A. Cano, K. Fransen, T. Hertog, and S. Maenaut, Phys. Rev. D 105, 024064 (2022), arXiv:2110.11378 [grqc].
  • [32] L. Pierini and L. Gualtieri, Phys. Rev. D 106, 104009 (2022), arXiv:2207.11267 [gr-qc].
  • [33] P. A. Cano, K. Fransen, T. Hertog, and S. Maenaut, Phys. Rev. D 108, 124032 (2023), arXiv:2307.07431 [grqc].
  • [34] P. Wagle, D. Li, Y. Chen, and N. Yunes, Phys. Rev. D 109, 104029 (2024), arXiv:2311.07706 [gr-qc].
  • [35] P. A. Cano, L. Capuano, N. Franchini, S. Maenaut, and S. H. Völkel, Phys. Rev. D 110, 104007 (2024), arXiv:2407.15947 [gr-qc].
  • [36] P. A. Cano, L. Capuano, N. Franchini, S. Maenaut, and S. H. Völkel, Phys. Rev. D 110, 124057 (2024), arXiv:2409.04517 [gr-qc].
  • [37] O. J. C. Dias, M. Godazgar, and J. E. Santos, Phys. Rev. Lett. 114, 151101 (2015), arXiv:1501.04625 [gr-qc].
  • [38] A. K.-W. Chung, P. Wagle, and N. Yunes, Phys. Rev. D 107, 124032 (2023), arXiv:2302.11624 [gr-qc].
  • [39] A. K.-W. Chung, P. Wagle, and N. Yunes, Phys. Rev. D 109, 044072 (2024), arXiv:2312.08435 [gr-qc].
  • [40] J. L. Blázquez-Salcedo, F. S. Khoo, J. Kunz, and L. M. González-Romero, Phys. Rev. D 109, 064028 (2024), arXiv:2312.10754 [gr-qc].
  • [41] A. K.-W. Chung and N. Yunes, Phys. Rev. Lett. 133, 181401 (2024), arXiv:2405.12280 [gr-qc].
  • [42] A. K.-W. Chung and N. Yunes, Phys. Rev. D 110, 064019 (2024), arXiv:2406.11986 [gr-qc].
  • [43] R. Abbott et al. (LIGO Scientific, VIRGO, KAGRA), Phys. Rev. D 112, 084080 (2025), arXiv:2112.06861 [grqc].
  • [44] S. Ma, L. Sun, and Y. Chen, Phys. Rev. Lett. 130, 141401 (2023), arXiv:2301.06705 [gr-qc].
  • [45] S. Ma, K. Mitman, L. Sun, N. Deppe, F. Hébert, L. E. Kidder, J. Moxon, W. Throwe, N. L. Vu, and Y. Chen, Phys. Rev. D 106, 084036 (2022), arXiv:2207.10870 [grqc].
  • [46] A. Maselli, P. Pani, L. Gualtieri, and E. Berti, Phys. Rev. D 101, 024043 (2020), arXiv:1910.12893 [gr-qc].
  • [47] T. Johannsen and D. Psaltis, Phys. Rev. D 83, 124015 (2011), arXiv:1105.3191 [gr-qc].
  • [48] T. Johannsen, Phys. Rev. D 87, 124017 (2013), arXiv:1304.7786 [gr-qc].
  • [49] T. Johannsen, Phys. Rev. D 88, 044002 (2013), arXiv:1501.02809 [gr-qc].
  • [50] V. Cardoso, P. Pani, and J. Rico, Phys. Rev. D 89, 064007 (2014), arXiv:1401.0528 [gr-qc].
  • [51] R. Konoplya, L. Rezzolla, and A. Zhidenko, Phys. Rev. D 93, 064015 (2016), arXiv:1602.02378 [gr-qc].
  • [52] C. Bambi, Rev. Mod. Phys. 89, 025001 (2017), arXiv:1509.03884 [gr-qc].
  • [53] K. Akiyama et al. (Event Horizon Telescope), Astrophys. J. Lett. 875, L1 (2019), arXiv:1906.11238 [astroph.GA].
  • [54] K. Akiyama et al. (Event Horizon Telescope), Astrophys. J. Lett. 930, L12 (2022), arXiv:2311.08680 [astroph.HE].
  • [55] K. Akiyama et al. (Event Horizon Telescope), Astrophys. J. Lett. 875, L6 (2019), arXiv:1906.11243 [astroph.GA].
  • [56] R. A. Konoplya and Z. Stuchlı́k, Phys. Lett. B 771, 597 (2017), arXiv:1705.05928 [gr-qc].
  • [57] V. Ferrari and B. Mashhoon, Phys. Rev. D 30, 295 (1984).
  • [58] V. Cardoso, A. S. Miranda, E. Berti, H. Witek, and V. T. Zanchin, Phys. Rev. D 79, 064016 (2009), arXiv:0812.1806 [hep-th].
  • [59] I. Z. Stefanov, S. S. Yazadjiev, and G. G. Gyulchev, Phys. Rev. Lett. 104, 251103 (2010), arXiv:1003.1609 [gr-qc].
  • [60] S. H. Völkel, E. Barausse, N. Franchini, and A. E. Broderick, Class. Quant. Grav. 38, 21LT01 (2021), arXiv:2011.06812 [gr-qc].
  • [61] E. T. Newman, E. Couch, K. Chinnapared, A. Exton, A. Prakash, and R. Torrence, J. Math. Phys. 6, 918 (1965).
  • [62] X. Jiménez Forteza, S. Bhagwat, P. Pani, and V. Ferrari, Phys. Rev. D 102, 044053 (2020), arXiv:2005.03260 [gr-qc].
  • [63] B. Mashhoon, Phys. Rev. D 31, 290 (1985).
  • [64] K. D. Kokkotas and B. G. Schmidt, Living Rev. Rel. 2, 2 (1999), arXiv:gr-qc/9909058.
  • [65] H. Yang, D. A. Nichols, F. Zhang, A. Zimmerman, Z. Zhang, and Y. Chen, Phys. Rev. D 86, 104006 (2012), arXiv:1207.4253 [gr-qc].
  • [66] K. Glampedakis, G. Pappas, H. O. Silva, and E. Berti, Phys. Rev. D 96, 064054 (2017), arXiv:1706.07658 [grqc].
  • [67] K. Glampedakis and H. O. Silva, Phys. Rev. D 100, 044040 (2019), arXiv:1906.05455 [gr-qc].
  • [68] H. O. Silva and K. Glampedakis, Phys. Rev. D 101, 044051 (2020), arXiv:1912.09286 [gr-qc].
  • [69] A. Bryant, H. O. Silva, K. Yagi, and K. Glampedakis, Phys. Rev. D 104, 044051 (2021), arXiv:2106.09657 [grqc].
  • [70] E. Berti and K. D. Kokkotas, Phys. Rev. D 71, 124008 (2005), arXiv:gr-qc/0502065.
  • [71] E. W. Leaver, Proc. Roy. Soc. Lond. A 402, 285 (1985).
  • [72] G. Carullo, D. Laghi, N. K. Johnson-McDaniel, W. Del Pozzo, O. J. C. Dias, M. Godazgar, and J. E. Santos, Phys. Rev. D 105, 062009 (2022), arXiv:2109.13961 [gr-qc].
  • [73] J. F. M. Delgado, C. A. R. Herdeiro, and E. Radu, JHEP 04, 180 (2020), arXiv:2002.05012 [gr-qc].
  • [74] A. Sullivan, N. Yunes, and T. P. Sotiriou, Phys. Rev. D 103, 124058 (2021), arXiv:2009.10614 [gr-qc].
  • [75] Z. Lyu, N. Jiang, and K. Yagi, Phys. Rev. D 105, 064001 (2022), [Erratum: Phys.Rev.D 106, 069901 (2022), Erratum: Phys.Rev.D 106, 069901 (2022)], arXiv:2201.02543 [gr-qc].
  • [75] Z. Lyu, N. Jiang, and K. Yagi, Phys. Rev. D 105, 064001 (2022), [Erratum: Phys.Rev.D 106, 069901 (2022), Erratum: Phys.Rev.D 106, 069901 (2022)], arXiv:2201.02543 [gr-qc].
  • [75] Z. Lyu, N. Jiang, and K. Yagi, Phys. Rev. D 105, 064001 (2022), [Erratum: Phys.Rev.D 106, 069901 (2022), Erratum: Phys.Rev.D 106, 069901 (2022)], arXiv:2201.02543 [gr-qc].
  • [76] B. Wang, C. Shi, J.-d. Zhang, Y.-M. hu, and J. Mei, Phys. Rev. D 108, 044061 (2023), arXiv:2302.10112 [grqc].
  • [77] F. S. Khoo, J. L. Blázquez-Salcedo, B. Kleihaus, and J. Kunz, Eur. Phys. J. C 85, 1366 (2025), arXiv:2412.09377 [gr-qc].
  • [78] P. A. Cano, K. Fransen, and T. Hertog, Phys. Rev. D 102, 044047 (2020), arXiv:2005.03671 [gr-qc].
  • [79] K. Akiyama et al. (Event Horizon Telescope), Astrophys. J. Lett. 875, L4 (2019), arXiv:1906.11241 [astroph.GA].
  • [80] K. Akiyama et al. (Event Horizon Telescope), Astrophys. J. Lett. 930, L17 (2022), arXiv:2311.09484 [astroph.HE].
  • [81] B. Carter, Phys. Rev. 174, 1559 (1968).
  • [82] T. Johannsen and D. Psaltis, Astrophys. J. 718, 446 (2010), arXiv:1005.1931 [astro-ph.HE].
  • [83] A. E. Broderick, T. Johannsen, A. Loeb, and D. Psaltis, Astrophys. J. 784, 7 (2014), arXiv:1311.5564 [astroph.HE].
  • [84] L. Medeiros, D. Psaltis, and F. Özel, Astrophys. J. 896, 7 (2020), arXiv:1907.12575 [astro-ph.HE].
  • [85] K. Glampedakis and G. Pappas, Phys. Rev. D 107, 064001 (2023), arXiv:2302.06140 [gr-qc].
  • [86] T. Johannsen, Astrophys. J. 777, 170 (2013), arXiv:1501.02814 [astro-ph.HE].
  • [87] R. Dahale et al. (Event Horizon Telescope), Astron. Astrophys. 699, A279 (2025), arXiv:2505.10333 [astroph.HE].
  • [88] D. Psaltis et al. (Event Horizon Telescope), Phys. Rev. Lett. 125, 141104 (2020), arXiv:2010.01055 [gr-qc].
  • [89] P. Tiede, A. E. Broderick, D. C. M. Palumbo, and A. Chael, Astrophys. J. 940, 182 (2022), arXiv:2210.13499 [astro-ph.HE].
  • [90] P. Tiede and A. E. Broderick, The Astrophysical Journal 971, 172 (2024).
  • [91] Y. Guo, S. Shashank, and C. Bambi, Eur. Phys. J. C 85, 425 (2025), arXiv:2412.08205 [gr-qc].
  • [92] D. G. Wu, A. Hussain, and A. Zimmerman, (2025), arXiv:2512.14679 [gr-qc].
  • [93] R. A. Konoplya, Z. Stuchlı́k, and A. Zhidenko, Phys. Rev. D 97, 084044 (2018), arXiv:1801.07195 [gr-qc].
  • [94] B. Majumdar and N. Panchapakesan, Phys. Rev. D 40, 2568 (1989).
  • [95] E. W. Leaver, Phys. Rev. D 41, 2986 (1990).
  • [96] R. Tang, N. Franchini, S. H. Völkel, and E. Berti, (2025), arXiv:2512.17786 [gr-qc].
  • [97] S. Bhagwat, C. Pacilio, P. Pani, and M. Mapelli, Phys. Rev. D 108, 043019 (2023), arXiv:2304.02283 [gr-qc].
  • [98] S. Bhagwat, C. Pacilio, E. Barausse, and P. Pani, Phys. Rev. D 105, 124063 (2022), arXiv:2201.00023 [gr-qc].
  • [99] F. Crescimbeni, G. Carullo, E. Berti, G. Caneva Santoro, M. H.-Y. Cheung, and P. Pani, (2025), arXiv:2511.02915 [gr-qc].
  • [100] D. Ayzenberg et al., Living Rev. Rel. 28, 4 (2025), [Erratum: Living Rev.Rel. 28, 7 (2025)], arXiv:2312.02130 [astro-ph.HE].
  • [100] D. Ayzenberg et al., Living Rev. Rel. 28, 4 (2025), [Erratum: Living Rev.Rel. 28, 7 (2025)], arXiv:2312.02130 [astro-ph.HE].
  • [101] A. Uniyal, I. K. Dihingia, Y. Mizuno, and L. Rezzolla, Nature Astron. 1, 8 (2025), arXiv:2511.03789 [gr-qc].
  • [102] V. Cardoso, C. F. B. Macedo, P. Pani, and V. Ferrari, JCAP 05, 054 (2016), [Erratum: JCAP 04, E01 (2020)], arXiv:1604.07845 [hep-ph].
  • [102] V. Cardoso, C. F. B. Macedo, P. Pani, and V. Ferrari, JCAP 05, 054 (2016), [Erratum: JCAP 04, E01 (2020)], arXiv:1604.07845 [hep-ph].