Novel ringdown tests of general relativity with black hole greybody factors

Author(s)

Rosato, Romeo Felice, Crescimbeni, Francesco, Yi, Sophia, Berti, Emanuele, Pani, Paolo

Abstract

We present GreyRing, a new model for the post-merger signal in black-hole binary coalescences based on the greybody factor of the remnant. The model accurately reproduces the full frequency-domain ringdown signal of a large set of comparable-mass, aligned-spin numerical relativity waveforms, achieving mismatches of order ${\cal O}(10^{-6})$ for the dominant $(\ell,m)=(2,2)$ mode, and typically outperforming state-of-the-art time-domain models. Building on this model, we introduce a novel consistency test of strong gravity based on the greybody factor: the remnant mass and spin inferred from GreyRing can be compared with those obtained through standard black hole spectroscopy. This agnostic test relies exclusively on the post-merger signal and does not require the inclusion of overtones or the choice of very early ringdown starting times, combining the advantages of inspiral-merger-ringdown consistency tests and traditional black hole spectroscopy. We apply the test to GW250114 and find that the remnant mass and spin inferred from GreyRing are consistent with those measured from the full signal. Remarkably, the inferred parameters can be measured with a precision comparable to, or slightly better than, that achieved with standard black-hole spectroscopy. Our greybody-factor waveform model allows for new precision tests of strong gravity using the ringdown signal.

Figures

Fit of the \textsc{GreyRing} model to the post-merger quadrupolar signal of a comparable-mass binary BH simulation (\texttt{SXS:BBH:3617}). Top panel: amplitude of the Fourier-domain waveform (black), compared with the model in Eq.~\eqref{eq:amplitude} (dashed orange). Bottom panel: detrended phase of the numerical signal (black) and of the greybody factor $R_{22}$ (blue), together with the fitted model including the $c_{\ell m}/(M\omega)$ correction (dashed orange): see Eq.~\eqref{eq:phase}. The gray shaded region indicates the fitting range, while the dotted vertical line marks the real part of the fundamental QNM for reference.
Caption Fit of the \textsc{GreyRing} model to the post-merger quadrupolar signal of a comparable-mass binary BH simulation (\texttt{SXS:BBH:3617}). Top panel: amplitude of the Fourier-domain waveform (black), compared with the model in Eq.~\eqref{eq:amplitude} (dashed orange). Bottom panel: detrended phase of the numerical signal (black) and of the greybody factor $R_{22}$ (blue), together with the fitted model including the $c_{\ell m}/(M\omega)$ correction (dashed orange): see Eq.~\eqref{eq:phase}. The gray shaded region indicates the fitting range, while the dotted vertical line marks the real part of the fundamental QNM for reference.
Mismatch distribution of the \textsc{GreyRing} model for the $(\ell,\,m)=(2,\,2),\,(3,\,3)$ and $(4,\,4)$ multipoles over $311$ comparable-mass, spin-aligned binary BH simulations from the SXS catalog~\cite{Boyle:2019kee,Scheel:2025jct}. For the $(3,\,3)$ mode, we restrict to the subset of simulations with mass ratio $q>1.001$, because the mode amplitude vanishes in the equal-mass limit.
Caption Mismatch distribution of the \textsc{GreyRing} model for the $(\ell,\,m)=(2,\,2),\,(3,\,3)$ and $(4,\,4)$ multipoles over $311$ comparable-mass, spin-aligned binary BH simulations from the SXS catalog~\cite{Boyle:2019kee,Scheel:2025jct}. For the $(3,\,3)$ mode, we restrict to the subset of simulations with mass ratio $q>1.001$, because the mode amplitude vanishes in the equal-mass limit.
$90\%$ credible region of the joint posterior distribution for the redshifted remnant mass and spin of GW250114. The blue contour corresponds to our greybody-factor model applied in the frequency range $f\in[100,512]\,\rm{Hz}$. The red and green contours show the results of a standard QNM analysis performed with \texttt{pyRing}~\cite{pyRing} using the $220$ mode and the $220+221$ modes, respectively~\cite{LIGOScientific:2025epi,LIGOScientific:2025obp,ligo_virgo_kagra_2025_17018009}. Black dashed lines mark the maximum-likelihood estimate from the LIGO-Virgo-KAGRA analysis with the \texttt{NRSur7dq4} inspiral-merger-ringdown waveform model~\cite{Varma:2019csw}.
Caption $90\%$ credible region of the joint posterior distribution for the redshifted remnant mass and spin of GW250114. The blue contour corresponds to our greybody-factor model applied in the frequency range $f\in[100,512]\,\rm{Hz}$. The red and green contours show the results of a standard QNM analysis performed with \texttt{pyRing}~\cite{pyRing} using the $220$ mode and the $220+221$ modes, respectively~\cite{LIGOScientific:2025epi,LIGOScientific:2025obp,ligo_virgo_kagra_2025_17018009}. Black dashed lines mark the maximum-likelihood estimate from the LIGO-Virgo-KAGRA analysis with the \texttt{NRSur7dq4} inspiral-merger-ringdown waveform model~\cite{Varma:2019csw}.
Distribution of the mismatch $\mathcal{M}$ for the $(\ell,m)=(2,2)$ mode of \textsc{GreyRing} over $311$ comparable-mass, spin-aligned binary BH simulations from the SXS catalog~\cite{Boyle:2019kee,Scheel:2025jct}. The baseline model $\arg(R_{22})$ (blue) already provides a good description of the data, with mismatches clustered around $\sim 10^{-3}$--$10^{-4}$. Including a correction of the form $c_{\ell m}/\omega^{d_{\ell m}}$ (orange) significantly improves the agreement, shifting the distribution to lower values. Fixing $d_{\ell m}=1$ (green) yields nearly identical results, indicating that the simplified $c_{\ell m}/(M\omega)$ parametrization captures the relevant subleading phase structure without loss of accuracy.
Caption Distribution of the mismatch $\mathcal{M}$ for the $(\ell,m)=(2,2)$ mode of \textsc{GreyRing} over $311$ comparable-mass, spin-aligned binary BH simulations from the SXS catalog~\cite{Boyle:2019kee,Scheel:2025jct}. The baseline model $\arg(R_{22})$ (blue) already provides a good description of the data, with mismatches clustered around $\sim 10^{-3}$--$10^{-4}$. Including a correction of the form $c_{\ell m}/\omega^{d_{\ell m}}$ (orange) significantly improves the agreement, shifting the distribution to lower values. Fixing $d_{\ell m}=1$ (green) yields nearly identical results, indicating that the simplified $c_{\ell m}/(M\omega)$ parametrization captures the relevant subleading phase structure without loss of accuracy.
Distributions of the mismatch $\mathcal{M}$ for the $(\ell,\,m)=(2,\,2),\,(3,\,3)$ and $(4,\,4)$ multipoles, split according to the mass ratio $q$. For the dominant $(2,\,2)$ mode, equal-mass systems ($q\simeq 1$) yield the best agreement, with a sharp peak around $\mathcal{M}\sim10^{-6}$, while higher mass ratios are clustered at $\mathcal{M}\sim10^{-5}$. For the subdominant $(3,\,3)$ and $(4,\,4)$ multipoles, the trend is reversed: higher mass ratios ($q>2$) lead to systematically smaller mismatches, whereas comparable-mass systems ($1\le q\le 2$) exhibit larger values of $\mathcal{M}$. This behavior reflects the suppression of higher multipoles in the comparable-mass limit, that makes them more susceptible to numerical noise and mode mixing, while they become better resolved for unequal-mass binaries.
Caption Distributions of the mismatch $\mathcal{M}$ for the $(\ell,\,m)=(2,\,2),\,(3,\,3)$ and $(4,\,4)$ multipoles, split according to the mass ratio $q$. For the dominant $(2,\,2)$ mode, equal-mass systems ($q\simeq 1$) yield the best agreement, with a sharp peak around $\mathcal{M}\sim10^{-6}$, while higher mass ratios are clustered at $\mathcal{M}\sim10^{-5}$. For the subdominant $(3,\,3)$ and $(4,\,4)$ multipoles, the trend is reversed: higher mass ratios ($q>2$) lead to systematically smaller mismatches, whereas comparable-mass systems ($1\le q\le 2$) exhibit larger values of $\mathcal{M}$. This behavior reflects the suppression of higher multipoles in the comparable-mass limit, that makes them more susceptible to numerical noise and mode mixing, while they become better resolved for unequal-mass binaries.
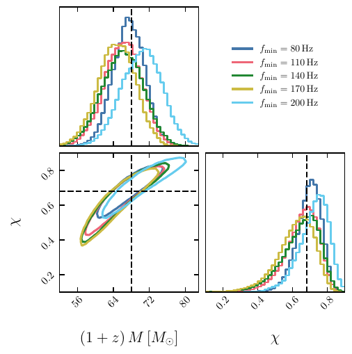
Joint posterior distributions for $((1+z)M,\, \chi,\, A,\, p,\, c)$ from the injection--recovery analysis with \textsc{GreyRing}. Injected values are shown as solid black lines. Dashed lines in the one-dimensional panels mark the $68\%$ credible intervals, with medians reported above each panel. The darker and lighter blue regions in the two-dimensional panels correspond to the $68\%$ and $90\%$ joint credible regions, respectively. All injected parameters are accurately recovered, confirming the robustness of the model in the selected frequency range. Details of the injection are in the text.
Caption Joint posterior distributions for $((1+z)M,\, \chi,\, A,\, p,\, c)$ from the injection--recovery analysis with \textsc{GreyRing}. Injected values are shown as solid black lines. Dashed lines in the one-dimensional panels mark the $68\%$ credible intervals, with medians reported above each panel. The darker and lighter blue regions in the two-dimensional panels correspond to the $68\%$ and $90\%$ joint credible regions, respectively. All injected parameters are accurately recovered, confirming the robustness of the model in the selected frequency range. Details of the injection are in the text.
Joint posterior distributions for the parameters $((1+z)M,\, \chi,\, A_{220},\, \phi_{220},\, A_{221}^R,\, \phi_{221})$ obtained from the injection-recovery analysis using QNM-based BH spectroscopy with \texttt{pycbc inference}. The injected values are indicated by solid black lines. In the one-dimensional marginal panels, the dashed black lines mark the bounds of the $68\%$ credible intervals. In the two-dimensional panels, the darker and lighter regions denote the $68\%$ and $90\%$ joint highest-posterior-density credible regions, respectively, highlighting correlations among parameters. Details of the injection are given in the text.
Caption Joint posterior distributions for the parameters $((1+z)M,\, \chi,\, A_{220},\, \phi_{220},\, A_{221}^R,\, \phi_{221})$ obtained from the injection-recovery analysis using QNM-based BH spectroscopy with \texttt{pycbc inference}. The injected values are indicated by solid black lines. In the one-dimensional marginal panels, the dashed black lines mark the bounds of the $68\%$ credible intervals. In the two-dimensional panels, the darker and lighter regions denote the $68\%$ and $90\%$ joint highest-posterior-density credible regions, respectively, highlighting correlations among parameters. Details of the injection are given in the text.
Comparison of the joint posterior distributions for $(M,\,\chi)$ obtained from injection--recovery analyses using the standard QNM-based model and \textsc{GreyRing}. The injected values are shown as dashed black lines. The contours correspond to the $90\%$ joint credible regions. While both models accurately recover the injected parameters, the \textsc{GreyRing} posterior appears slightly tighter.
Caption Comparison of the joint posterior distributions for $(M,\,\chi)$ obtained from injection--recovery analyses using the standard QNM-based model and \textsc{GreyRing}. The injected values are shown as dashed black lines. The contours correspond to the $90\%$ joint credible regions. While both models accurately recover the injected parameters, the \textsc{GreyRing} posterior appears slightly tighter.
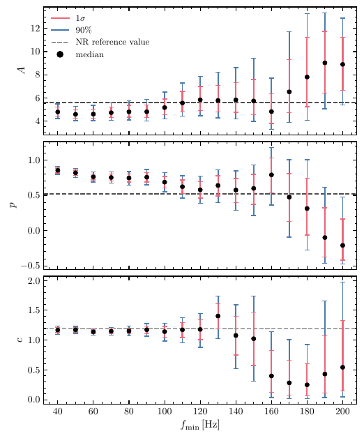
Posterior summary for the parameters $(A,\,p,\,c)$ as a function of the lower cutoff frequency $f_{\min}$, with $f_{\max}=512\,\mathrm{Hz}$. Black dots denote posterior medians, while red and blue bars indicate $1\sigma$ and $90\%$ credible intervals, respectively. The dashed horizontal lines mark the reference values obtained from the numerical relativity simulation \texttt{SXS:BBH:3617}, chosen to match the properties of the observed event. The results highlight an intermediate region, $f_{\min}\sim 110$--$140\,\mathrm{Hz}$, where the parameters are consistently recovered, while lower and higher frequency cutoffs lead to biased or weakly constrained estimates.
Caption Posterior summary for the parameters $(A,\,p,\,c)$ as a function of the lower cutoff frequency $f_{\min}$, with $f_{\max}=512\,\mathrm{Hz}$. Black dots denote posterior medians, while red and blue bars indicate $1\sigma$ and $90\%$ credible intervals, respectively. The dashed horizontal lines mark the reference values obtained from the numerical relativity simulation \texttt{SXS:BBH:3617}, chosen to match the properties of the observed event. The results highlight an intermediate region, $f_{\min}\sim 110$--$140\,\mathrm{Hz}$, where the parameters are consistently recovered, while lower and higher frequency cutoffs lead to biased or weakly constrained estimates.
Posterior distributions for the remnant mass $M$ and spin $\chi$ obtained using different lower cutoff frequencies $f_{\min}$, with $f_{\max}=512\,\mathrm{Hz}$. Contours correspond to $90\%$ credible regions, while one-dimensional marginals are shown along the diagonal. Only a representative subset of frequency cutoffs is displayed for clarity. In contrast with the phenomenological parameters, the posteriors for $(M,\,\chi)$ remain stable across the explored range, with their peaks consistently aligned with the injected values. This indicates that the inference of the remnant properties is robust against the choice of the frequency band, in contrast with the behavior observed in standard QNM-based spectroscopy when varying the start time.
Caption Posterior distributions for the remnant mass $M$ and spin $\chi$ obtained using different lower cutoff frequencies $f_{\min}$, with $f_{\max}=512\,\mathrm{Hz}$. Contours correspond to $90\%$ credible regions, while one-dimensional marginals are shown along the diagonal. Only a representative subset of frequency cutoffs is displayed for clarity. In contrast with the phenomenological parameters, the posteriors for $(M,\,\chi)$ remain stable across the explored range, with their peaks consistently aligned with the injected values. This indicates that the inference of the remnant properties is robust against the choice of the frequency band, in contrast with the behavior observed in standard QNM-based spectroscopy when varying the start time.
Posterior distributions and correlations for all model parameters, obtained for $f_{\min}=110\,\mathrm{Hz}$ and $f_{\max}=512\,\mathrm{Hz}$. Contours correspond to $90\%$ credible regions, while one-dimensional marginals are shown along the diagonal. The plot highlights significant correlations among the phenomenological parameters, particularly between $A$ and $p$, while $M$ and $\chi$ remain comparatively well constrained and less correlated. This choice of $f_{\min}$ lies within the regime of validity identified in Fig.~\ref{fig:params_fmin}.
Caption Posterior distributions and correlations for all model parameters, obtained for $f_{\min}=110\,\mathrm{Hz}$ and $f_{\max}=512\,\mathrm{Hz}$. Contours correspond to $90\%$ credible regions, while one-dimensional marginals are shown along the diagonal. The plot highlights significant correlations among the phenomenological parameters, particularly between $A$ and $p$, while $M$ and $\chi$ remain comparatively well constrained and less correlated. This choice of $f_{\min}$ lies within the regime of validity identified in Fig.~\ref{fig:params_fmin}.
References
  • [1] E. Berti et al., (2025), arXiv:2505.23895 [gr-qc].
  • [2] C. V. Vishveshwara, Nature 227, 936 (1970).
  • [3] W. H. Press, Astrophys. J. Lett. 170, L105 (1971).
  • [4] S. A. Teukolsky, Astrophys. J. 185, 635 (1973).
  • [5] S. Chandrasekhar and S. L. Detweiler, Proc. Roy. Soc. Lond. A 344, 441 (1975).
  • [6] K. D. Kokkotas and B. G. Schmidt, Living Rev. Rel. 2, 2 (1999), arXiv:gr-qc/9909058.
  • [7] E. Berti, V. Cardoso, and A. O. Starinets, Class. Quant. Grav. 26, 163001 (2009), arXiv:0905.2975 [gr-qc].
  • [8] O. Dreyer, B. J. Kelly, B. Krishnan, L. S. Finn, D. Garrison, and R. Lopez-Aleman, Class. Quant. Grav. 21, 787 (2004), arXiv:gr-qc/0309007.
  • [9] E. Berti, V. Cardoso, and C. M. Will, Phys. Rev. D 73, 064030 (2006), arXiv:gr-qc/0512160.
  • [10] S. Gossan, J. Veitch, and B. S. Sathyaprakash, Phys. Rev. D 85, 124056 (2012), arXiv:1111.5819 [gr-qc].
  • [11] E. Berti et al., Class. Quant. Grav. 32, 243001 (2015), arXiv:1501.07274 [gr-qc].
  • [12] E. Berti, K. Yagi, H. Yang, and N. Yunes, Gen. Rel. Grav. 50, 49 (2018), arXiv:1801.03587 [gr-qc].
  • [13] N. Franchini and S. H. Völkel, (2023), arXiv:2305.01696 [gr-qc].
  • [14] A. G. Abac et al. (LIGO Scientific, VIRGO, KAGRA), (2026), arXiv:2603.19019 [gr-qc].
  • [15] A. G. Abac et al. (LIGO Scientific, VIRGO, KAGRA), (2026), arXiv:2603.19021 [gr-qc].
  • [16] V. Cardoso and P. Pani, Living Rev. Rel. 22, 4 (2019), arXiv:1904.05363 [gr-qc].
  • [17] E. Maggio, L. Buoninfante, A. Mazumdar, and P. Pani, Phys. Rev. D 102, 064053 (2020), arXiv:2006.14628 [grqc].
  • [18] E. Maggio, P. Pani, and G. Raposo, (2021), arXiv:2105.06410 [gr-qc].
  • [19] E. Maggio, Lect. Notes Phys. 1017, 333 (2023), arXiv:2310.07368 [gr-qc].
  • [20] E. Barausse, V. Cardoso, and P. Pani, Phys. Rev. D 89, 104059 (2014), arXiv:1404.7149 [gr-qc].
  • [21] V. Cardoso, K. Destounis, F. Duque, R. P. Macedo, and A. Maselli, Phys. Rev. D 105, L061501 (2022), arXiv:2109.00005 [gr-qc].
  • [22] A. G. Abac et al. (LIGO Scientific, Virgo, KAGRA), Phys. Rev. Lett. 135, 111403 (2025), arXiv:2509.08054 [gr-qc].
  • [23] A. G. Abac et al. (LIGO Scientific, VIRGO, KAGRA), (2025), arXiv:2509.08099 [gr-qc].
  • [24] F. Crescimbeni, G. Carullo, E. Berti, G. Caneva Santoro, M. H.-Y. Cheung, and P. Pani, (2025), arXiv:2511.02915 [gr-qc].
  • [25] M. Isi, M. Giesler, W. M. Farr, M. A. Scheel, and S. A. Teukolsky, Phys. Rev. Lett. 123, 111102 (2019), arXiv:1905.00869 [gr-qc].
  • [26] R. Cotesta, G. Carullo, E. Berti, and V. Cardoso, Phys. Rev. Lett. 129, 111102 (2022), arXiv:2201.00822 [gr-qc].
  • [27] M. Isi and W. M. Farr, Phys. Rev. Lett. 131, 169001 (2023), arXiv:2310.13869 [astro-ph.HE].
  • [28] G. Carullo, R. Cotesta, E. Berti, and V. Cardoso, Phys. Rev. Lett. 131, 169002 (2023), arXiv:2310.20625 [gr-qc].
  • [29] R. Abbott et al. (LIGO Scientific, Virgo), Phys. Rev. D 103, 122002 (2021), arXiv:2010.14529 [gr-qc].
  • [30] R. Abbott et al. (LIGO Scientific, VIRGO, KAGRA), (2021), arXiv:2112.06861 [gr-qc].
  • [31] A. Gupta et al., (2024), 10.21468/SciPostPhysCommRep.5, arXiv:2405.02197 [gr-qc].
  • [32] A. Dhani, S. H. Völkel, A. Buonanno, H. Estelles, J. Gair, H. P. Pfeiffer, L. Pompili, and A. Toubiana, Phys. Rev. X 15, 031036 (2025), arXiv:2404.05811 [grqc].
  • [33] J. Calderón Bustillo, P. D. Lasky, and E. Thrane, Phys. Rev. D 103, 024041 (2021), arXiv:2010.01857 [gr-qc].
  • [34] K. Chandra and J. Calderón Bustillo, (2025), arXiv:2509.17315 [gr-qc].
  • [35] V. Gennari, G. Carullo, and W. Del Pozzo, Eur. Phys. J. C 84, 233 (2024), arXiv:2312.12515 [gr-qc].
  • [36] A. Kankani and S. T. McWilliams, (2025), arXiv:2510.25012 [gr-qc].
  • [37] P. Narayan, N. K. Johnson-McDaniel, and A. Gupta, Phys. Rev. D 108, 064003 (2023), arXiv:2306.04068 [grqc].
  • [38] R. F. Rosato, K. Destounis, and P. Pani, Phys. Rev. D 110, L121501 (2024), arXiv:2406.01692 [gr-qc].
  • [39] N. Oshita, K. Takahashi, and S. Mukohyama, Phys. Rev. D 110, 084070 (2024), arXiv:2406.04525 [gr-qc].
  • [40] R. F. Rosato, S. Biswas, S. Chakraborty, and P. Pani, (2025), arXiv:2511.08692 [gr-qc].
  • [41] H.-P. Nollert, Phys. Rev. D 53, 4397 (1996), arXiv:grqc/9602032.
  • [42] J. L. Jaramillo, R. Panosso Macedo, and L. Al Sheikh, Phys. Rev. X 11, 031003 (2021), arXiv:2004.06434 [grqc].
  • [43] M. H.-Y. Cheung, K. Destounis, R. P. Macedo, E. Berti, and V. Cardoso, Phys. Rev. Lett. 128, 111103 (2022), arXiv:2111.05415 [gr-qc].
  • [44] E. Berti, V. Cardoso, M. H.-Y. Cheung, F. Di Filippo, F. Duque, P. Martens, and S. Mukohyama, Phys. Rev. D 106, 084011 (2022), arXiv:2205.08547 [gr-qc].
  • [45] N. Oshita, Phys. Rev. D 109, 104028 (2024), arXiv:2309.05725 [gr-qc].
  • [46] R. F. Rosato, S. Biswas, S. Chakraborty, and P. Pani, Phys. Rev. D 111, 084051 (2025), arXiv:2501.16433 [grqc].
  • [47] K. Okabayashi and N. Oshita, Phys. Rev. D 110, 064086 (2024), arXiv:2403.17487 [gr-qc].
  • [48] R. F. Rosato, S. Yi, E. Berti, and P. Pani, (2025), arXiv:2512.15877 [gr-qc].
  • [49] R. F. Rosato, M. De Amicis, and P. Pani, (2026), arXiv:2603.20490 [gr-qc].
  • [50] M. Boyle et al., Class. Quant. Grav. 36, 195006 (2019), arXiv:1904.04831 [gr-qc].
  • [51] M. A. Scheel et al., Class. Quant. Grav. 42, 195017 (2025), arXiv:2505.13378 [gr-qc].
  • [52] E. Berti and A. Klein, Phys. Rev. D 90, 064012 (2014), arXiv:1408.1860 [gr-qc].
  • [53] M. H.-Y. Cheung et al., Phys. Rev. Lett. 130, 081401 (2023), arXiv:2208.07374 [gr-qc].
  • [54] K. Mitman et al., Phys. Rev. Lett. 130, 081402 (2023), arXiv:2208.07380 [gr-qc].
  • [55] V. Cardoso, J. Redondo-Yuste, U. Sperhake, and F. Tuncer, (2026), arXiv:2603.04501 [gr-qc].
  • [56] T. Damour and A. Nagar, Phys. Rev. D 90, 024054 (2014), arXiv:1406.0401 [gr-qc].
  • [57] W. Del Pozzo and A. Nagar, Phys. Rev. D 95, 124034 (2017), arXiv:1606.03952 [gr-qc].
  • [58] A. Nagar, G. Pratten, G. Riemenschneider, and R. Gamba, Phys. Rev. D 101, 024041 (2020), arXiv:1904.09550 [gr-qc].
  • [59] A. Nagar, G. Riemenschneider, G. Pratten, P. Rettegno, and F. Messina, Phys. Rev. D 102, 024077 (2020), arXiv:2001.09082 [gr-qc].
  • [60] R. Brito, A. Buonanno, and V. Raymond, Phys. Rev. D 98, 084038 (2018), arXiv:1805.00293 [gr-qc].
  • [61] M. Giesler, M. Isi, M. A. Scheel, and S. Teukolsky, Phys. Rev. X 9, 041060 (2019), arXiv:1903.08284 [gr-qc].
  • [62] I. Ota and C. Chirenti, Phys. Rev. D 101, 104005 (2020), arXiv:1911.00440 [gr-qc].
  • [63] S. Bhagwat, X. J. Forteza, P. Pani, and V. Ferrari, Phys. Rev. D 101, 044033 (2020), arXiv:1910.08708 [grqc].
  • [64] M. Isi and W. M. Farr, (2022), arXiv:2202.02941 [grqc].
  • [65] E. Finch and C. J. Moore, Phys. Rev. D 106, 043005 (2022), arXiv:2205.07809 [gr-qc].
  • [66] S. Ma, L. Sun, and Y. Chen, Phys. Rev. D 107, 084010 (2023), arXiv:2301.06639 [gr-qc].
  • [67] S. Ma, L. Sun, and Y. Chen, Phys. Rev. Lett. 130, 141401 (2023), arXiv:2301.06705 [gr-qc].
  • [68] V. Baibhav, M. H.-Y. Cheung, E. Berti, V. Cardoso, G. Carullo, R. Cotesta, W. Del Pozzo, and F. Duque, Phys. Rev. D 108, 104020 (2023), arXiv:2302.03050 [grqc].
  • [69] A. G. Abac et al. (LIGO Scientific, KAGRA, Virgo), Phys. Rev. Lett. 135, 111403 (2025), arXiv:2509.08054 [gr-qc].
  • [70] X. Jiménez Forteza, S. Bhagwat, P. Pani, and V. Ferrari, Phys. Rev. D 102, 044053 (2020), arXiv:2005.03260 [gr-qc].
  • [71] C. M. Biwer, C. D. Capano, S. De, M. Cabero, D. A. Brown, A. H. Nitz, and V. Raymond, Publ. Astron. Soc. Pac. 131, 024503 (2019), arXiv:1807.10312 [astroph.IM].
  • [72] LIGO Scientific Collaboration and Virgo Collaboration, “Black hole spectroscopy and tests of general relativity with gw250114: Data release,” (2025).
  • [73] G. Carullo, W. Del Pozzo, and J. Veitch, “pyRing: a time-domain ringdown analysis python package,” git.ligo.org/lscsoft/pyring (2023).
  • [74] V. Varma, S. E. Field, M. A. Scheel, J. Blackman, D. Gerosa, L. C. Stein, L. E. Kidder, and H. P. Pfeiffer, Phys. Rev. Research. 1, 033015 (2019), arXiv:1905.09300 [gr-qc].
  • [75] N. Andersson, Phys. Rev. D 55, 468 (1997), arXiv:grqc/9607064.
  • [76] E. W. Leaver, Phys. Rev. D 34, 384 (1986).
  • [77] M. De Amicis, E. Cannizzaro, G. Carullo, and L. Sberna, Phys. Rev. D 113, 024048 (2026), arXiv:2506.21668 [gr-qc].
  • [78] M. De Amicis and E. Cannizzaro, (2026), arXiv:2601.11706 [gr-qc].
  • [79] J. Su, N. Khera, M. Casals, S. Ma, A. Chowdhuri, and H. Yang, (2026), arXiv:2601.22015 [gr-qc].
  • [80] D. Q. Aruquipa and M. Casals, (2026), arXiv:2603.07747 [gr-qc].
  • [81] G. Antoniou, (2026), arXiv:2604.05084 [gr-qc].
  • [82] M. Maggiore et al. (ET), JCAP 03, 050 (2020), arXiv:1912.02622 [astro-ph.CO].
  • [83] M. Branchesi et al., JCAP 07, 068 (2023), arXiv:2303.15923 [gr-qc].
  • [84] A. Abac et al. (ET), (2025), arXiv:2503.12263 [gr-qc].
  • [85] D. Reitze et al., Bull. Am. Astron. Soc. 51, 035 (2019), arXiv:1907.04833 [astro-ph.IM].
  • [86] M. Evans et al., (2021), arXiv:2109.09882 [astro-ph.IM].
  • [87] M. Colpi et al. (LISA), (2024), arXiv:2402.07571 [astroph.CO].
  • [88] L. Capuano, M. Vaglio, R. S. Chandramouli, C. L. Pitte, A. Kuntz, and E. Barausse, Phys. Rev. D 112, 104031 (2025), arXiv:2506.21181 [gr-qc].
  • [89] S. H. Völkel and A. Dhani, Phys. Rev. D 112, 084076 (2025), arXiv:2507.22122 [gr-qc].
  • [90] N. Afshordi et al. (LISA Consortium Waveform Working Group), Living Rev. Rel. 28, 9 (2025), arXiv:2311.01300 [gr-qc].
  • [91] E. E. Flanagan and S. A. Hughes, Phys. Rev. D 57, 4566 (1998), arXiv:gr-qc/9710129.
  • [92] L. Lindblom, B. J. Owen, and D. A. Brown, Phys. Rev. D 78, 124020 (2008), arXiv:0809.3844 [gr-qc].
  • [93] S. Bhagwat, C. Pacilio, P. Pani, and M. Mapelli, Phys. Rev. D 108, 043019 (2023), arXiv:2304.02283 [gr-qc].
  • [94] E. Berti, A. Sesana, E. Barausse, V. Cardoso, and K. Belczynski, Phys. Rev. Lett. 117, 101102 (2016), arXiv:1605.09286 [gr-qc].
  • [95] S. Bhagwat, C. Pacilio, E. Barausse, and P. Pani, Phys. Rev. D 105, 124063 (2022), arXiv:2201.00023 [gr-qc].
  • [96] S. Khan, S. Husa, M. Hannam, F. Ohme, M. Pürrer, X. Jiménez Forteza, and A. Bohé, Phys. Rev. D 93, 044007 (2016), arXiv:1508.07253 [gr-qc].
  • [97] G. Pratten et al., Phys. Rev. D 103, 104056 (2021), arXiv:2004.06503 [gr-qc].
  • [98] M. Pürrer, Phys. Rev. D 93, 064041 (2016), arXiv:1512.02248 [gr-qc].
  • [99] A. Bohé et al., Phys. Rev. D 95, 044028 (2017), arXiv:1611.03703 [gr-qc].
  • [100] R. Gamba, S. Bernuzzi, and A. Nagar, Phys. Rev. D 104, 084058 (2021), arXiv:2012.00027 [gr-qc].
  • [101] G. Ashton et al., Astrophys. J. Suppl. 241, 27 (2019), arXiv:1811.02042 [astro-ph.IM].
  • [102] J. D. Hunter, Computing in Science & Engineering 9, 90 (2007).
  • [103] D. Foreman-Mackey, J. Open Source Softw. 1, 24 (2016).
  • [104] T. Bray, RFC 7159, 1 (2014).
  • [105] M. M. Rams, G. Wójtowicz, A. Sinha, and J. Hasik, SciPost Phys. Codeb. 52, 1 (2025), arXiv:2405.12196 [cond-mat.str-el].
  • [106] S. A. Teukolsky, Phys. Rev. Lett. 29, 1114 (1972).
  • [107] P. Pani, Int. J. Mod. Phys. A 28, 1340018 (2013), arXiv:1305.6759 [gr-qc].
  • [108] W. H. Press and S. A. Teukolsky, Nature 238, 211 (1972).
  • [109] W. H. Press and S. A. Teukolsky, Astrophys. J. 185, 649 (1973).
  • [110] S. A. Teukolsky and W. H. Press, Astrophys. J. 193, 443 (1974).
  • [111] A. A. Starobinskii, Sov. Phys. JETP 37, 28 (1973).
  • [112] A. A. Starobinskil and S. M. Churilov, Sov. Phys. JETP 65, 1 (1974).
  • [113] R. Brito, V. Cardoso, and P. Pani, Lect. Notes Phys. 906, pp.1 (2015), arXiv:1501.06570 [gr-qc].
  • [114] A. Buonanno, G. B. Cook, and F. Pretorius, Phys. Rev. D 75, 124018 (2007), arXiv:gr-qc/0610122.
  • [115] E. Berti, V. Cardoso, J. A. Gonzalez, U. Sperhake, M. Hannam, S. Husa, and B. Bruegmann, Phys. Rev. D 76, 064034 (2007), arXiv:gr-qc/0703053.
  • [116] E. Berti, V. Cardoso, and M. Casals, Phys. Rev. D 73, 024013 (2006), [Erratum: Phys.Rev.D 73, 109902 (2006)], arXiv:gr-qc/0511111.
  • [116] E. Berti, V. Cardoso, and M. Casals, Phys. Rev. D 73, 024013 (2006), [Erratum: Phys.Rev.D 73, 109902 (2006)], arXiv:gr-qc/0511111.
  • [117] C. García-Quirós, M. Colleoni, S. Husa, H. Estellés, G. Pratten, A. Ramos-Buades, M. Mateu-Lucena, and R. Jaume, Phys. Rev. D 102, 064002 (2020), arXiv:2001.10914 [gr-qc].
  • [118] LIGO Scientific Collaboration, “LIGO Algorithm Library - LALSuite,” free software (GPL) (2018).
  • [119] LIGO Scientific Collaboration and Virgo Collaboration, Noise Curves for use in simulations pre-O4, Tech. Rep. T2200043-v3 (LIGO Document Control Center (DCC), 2022).
  • [120] J. S. Speagle, Mon. Not. Roy. Astron. Soc. 493, 3132 (2020), arXiv:1904.02180 [astro-ph.IM].
  • [121] M. H.-Y. Cheung, E. Berti, V. Baibhav, and R. Cotesta, Phys. Rev. D 109, 044069 (2024), [Erratum: Phys.Rev.D 110, 049902 (2024), Erratum: Phys.Rev.D 112, 049901 (2025)], arXiv:2310.04489 [gr-qc].
  • [121] M. H.-Y. Cheung, E. Berti, V. Baibhav, and R. Cotesta, Phys. Rev. D 109, 044069 (2024), [Erratum: Phys.Rev.D 110, 049902 (2024), Erratum: Phys.Rev.D 112, 049901 (2025)], arXiv:2310.04489 [gr-qc].
  • [121] M. H.-Y. Cheung, E. Berti, V. Baibhav, and R. Cotesta, Phys. Rev. D 109, 044069 (2024), [Erratum: Phys.Rev.D 110, 049902 (2024), Erratum: Phys.Rev.D 112, 049901 (2025)], arXiv:2310.04489 [gr-qc].
  • [122] S. A. Usman et al., Class. Quant. Grav. 33, 215004 (2016), arXiv:1508.02357 [gr-qc].
  • [123] B. Zackay, T. Venumadhav, J. Roulet, L. Dai, and M. Zaldarriaga, Phys. Rev. D 104, 063034 (2021), arXiv:1908.05644 [astro-ph.IM].
  • [124] C. D. Capano, M. Cabero, J. Westerweck, J. Abedi, S. Kastha, A. H. Nitz, Y.-F. Wang, A. B. Nielsen, and B. Krishnan, Phys. Rev. Lett. 131, 221402 (2023), arXiv:2105.05238 [gr-qc].
  • [125] D. M. Macleod, J. S. Areeda, S. B. Coughlin, T. J. Massinger, and A. L. Urban, SoftwareX 13, 100657 (2021).