Reassessing the SIGW Interpretation of PTA Signal: The Role of Third-Order Gravitational Waves and Implications for the PBH Overproduction

Author(s)

Zhao, Zhi-Chao, Wang, Sai, Zhu, Qing-Hua, Zhang, Xin

Abstract

In light of recent interpretations attributing pulsar timing array (PTA) signal to second-order gravitational waves induced by linear cosmological curvature perturbations in the early universe, the overproduction of primordial black holes (PBHs) poses a theoretical tension. In this work, we address this issue through extending such a scalar-induced gravitational wave (SIGW) framework to include third-order gravitational waves, which allow for a substantial enhancement in the spectral amplitude of SIGWs. Analyzing a combined dataset from cosmic microwave background and baryon acoustic oscillations, we derive cosmological constraints on the physical energy-density fraction of cosmological gravitational waves. Further incorporating PTA data, we obtain constraints on the spectral amplitude and peak frequency of SIGWs. Our results indicate that the parameter region favored by the data combination can to some extent alleviate the PBH overproduction problem, thereby supporting the theoretical consistency of our model. Furthermore, we demonstrate the robustness of our SIGW interpretation for the PTA signal by extending the analysis to include a gravitational wave background from supermassive black hole binaries. These findings are poised for further scrutiny with future high-precision observations.

Figures

Illustrative figure for the \ac{SIGW} energy-density fraction spectra. The blue solid curve shows the contribution from second-order components only, while the red solid curve includes both second- and third-order components. Both spectra are computed using the same parameter set $(A_\zeta, f_\ast)$, corresponding to the median values in the joint \ac{PTA}, \ac{CMB}, and \ac{BAO} constraints on the \ac{SIGW} spectrum (i.e., the first row of Tab.~\ref{tab:inferenceres}). The grey violins represent the \ac{NG15} dataset \cite{NANOGrav:2023hvm}.
Caption Illustrative figure for the \ac{SIGW} energy-density fraction spectra. The blue solid curve shows the contribution from second-order components only, while the red solid curve includes both second- and third-order components. Both spectra are computed using the same parameter set $(A_\zeta, f_\ast)$, corresponding to the median values in the joint \ac{PTA}, \ac{CMB}, and \ac{BAO} constraints on the \ac{SIGW} spectrum (i.e., the first row of Tab.~\ref{tab:inferenceres}). The grey violins represent the \ac{NG15} dataset \cite{NANOGrav:2023hvm}.
One-dimensional posterior distributions of $\omega_{t}$ obtained via analyzing the CMB-SPA and DESI DR2 observational data (blue) and the LiteBIRD, S4, and CSST mock data (orange).
Caption One-dimensional posterior distributions of $\omega_{t}$ obtained via analyzing the CMB-SPA and DESI DR2 observational data (blue) and the LiteBIRD, S4, and CSST mock data (orange).
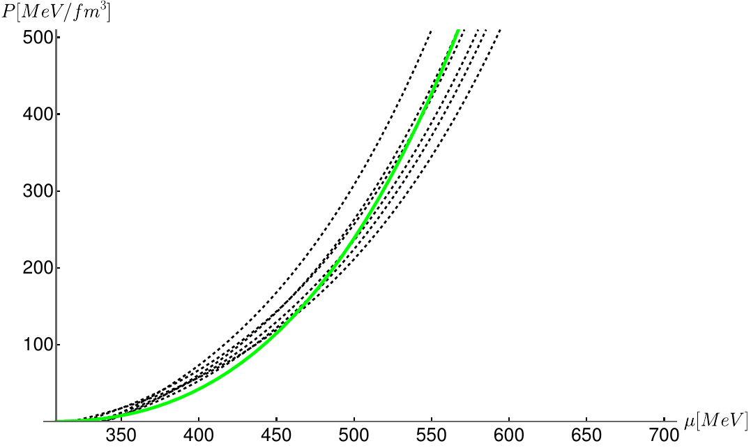
One- and two-dimensional posterior distributions of the independent parameters inferred from the joint data analysis. Dark and light shaded regions, respectively, stand for 68\% and 95\% CL. Dashed vertical lines represent 68\% CL boundaries.
Caption One- and two-dimensional posterior distributions of the independent parameters inferred from the joint data analysis. Dark and light shaded regions, respectively, stand for 68\% and 95\% CL. Dashed vertical lines represent 68\% CL boundaries.
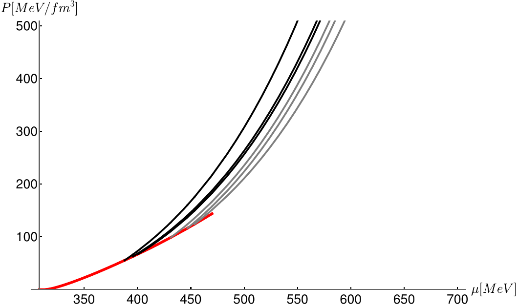
The same as Fig.~\ref{fig:posteriorsfin3}, but we use the mock data of the next-generation \ac{CMB} and \ac{BAO} experiments.
Caption The same as Fig.~\ref{fig:posteriorsfin3}, but we use the mock data of the next-generation \ac{CMB} and \ac{BAO} experiments.
Two-dimensional posterior distributions of $A_{\zeta}$ and $f_{\ast}$ versus the $f_{\mathrm{PBH}}=1$ contour. We depict the left/right panel using the posteriors derived in Fig.~\ref{fig:posteriorsfin3}/ Fig.~\ref{fig:posteriorsfin}. For comparison, we depict the $f_{\mathrm{PBH}}=1$ contour in black dashed curves.
Caption Two-dimensional posterior distributions of $A_{\zeta}$ and $f_{\ast}$ versus the $f_{\mathrm{PBH}}=1$ contour. We depict the left/right panel using the posteriors derived in Fig.~\ref{fig:posteriorsfin3}/ Fig.~\ref{fig:posteriorsfin}. For comparison, we depict the $f_{\mathrm{PBH}}=1$ contour in black dashed curves.
References
  • [1] NANOGrav collaboration, The NANOGrav 15-year Data Set: Evidence for a Gravitational-Wave Background, Astrophys. J. Lett. 951 (2023) [2306.16213].
  • [2] EPTA, InPTA: collaboration, The second data release from the European Pulsar Timing Array III. Search for gravitational wave signals, Astron. Astrophys. 678 (2023) A50 [2306.16214].
  • [3] D.J. Reardon et al., Search for an isotropic gravitational-wave background with the Parkes Pulsar Timing Array, Astrophys. J. Lett. 951 (2023) [2306.16215].
  • [4] H. Xu et al., Searching for the Nano-Hertz Stochastic Gravitational Wave Background with the Chinese Pulsar Timing Array Data Release I, Res. Astron. Astrophys. 23 (2023) 075024 [2306.16216].
  • [5] EPTA, InPTA collaboration, The second data release from the European Pulsar Timing Array IV. Implications for massive black holes, dark matter, and the early Universe, Astron. Astrophys. 685 (2024) A94 [2306.16227].
  • [6] NANOGrav collaboration, The NANOGrav 15 yr Data Set: Constraints on Supermassive Black Hole Binaries from the Gravitational-wave Background, Astrophys. J. Lett. 952 (2023) L37 [2306.16220].
  • [7] NANOGrav collaboration, The NANOGrav 15 yr Data Set: Search for Signals from New Physics, Astrophys. J. Lett. 951 (2023) L11 [2306.16219].
  • [8] Y.-C. Bi, Y.-M. Wu, Z.-C. Chen and Q.-G. Huang, Implications for the supermassive black hole binaries from the NANOGrav 15-year data set, Sci. China Phys. Mech. Astron. 66 (2023) 120402 [2307.00722].
  • [9] L. Bian et al., Gravitational wave cosmology, Sci. China Phys. Mech. Astron. 69 (2026) 210401 [2505.19747].
  • [10] K.N. Ananda, C. Clarkson and D. Wands, The Cosmological gravitational wave background from primordial density perturbations, Phys. Rev. D 75 (2007) 123518 [gr-qc/0612013].
  • [11] D. Baumann, P.J. Steinhardt, K. Takahashi and K. Ichiki, Gravitational Wave Spectrum Induced by Primordial Scalar Perturbations, Phys. Rev. D 76 (2007) 084019 [hep-th/0703290].
  • [12] S. Mollerach, D. Harari and S. Matarrese, CMB polarization from secondary vector and tensor modes, Phys. Rev. D 69 (2004) 063002 [astro-ph/0310711].
  • [13] H. Assadullahi and D. Wands, Constraints on primordial density perturbations from induced gravitational waves, Phys. Rev. D 81 (2010) 023527 [0907.4073].
  • [14] J.R. Espinosa, D. Racco and A. Riotto, A Cosmological Signature of the SM Higgs Instability: Gravitational Waves, JCAP 09 (2018) 012 [1804.07732].
  • [15] K. Kohri and T. Terada, Semianalytic calculation of gravitational wave spectrum nonlinearly induced from primordial curvature perturbations, Phys. Rev. D 97 (2018) 123532 [1804.08577].
  • [16] B. Carr, K. Kohri, Y. Sendouda and J. Yokoyama, Constraints on primordial black holes, Rept. Prog. Phys. 84 (2021) 116902 [2002.12778].
  • [17] G. Franciolini, A. Iovino, Junior., V. Vaskonen and H. Veermae, Recent Gravitational Wave Observation by Pulsar Timing Arrays and Primordial Black Holes: The Importance of Non-Gaussianities, Phys. Rev. Lett. 131 (2023) 201401 [2306.17149].
  • [18] S. Wang, Z.-C. Zhao, J.-P. Li and Q.-H. Zhu, Implications of pulsar timing array data for scalar-induced gravitational waves and primordial black holes: Primordial non-Gaussianity fNL considered, Phys. Rev. Res. 6 (2024) L012060 [2307.00572].
  • [19] L. Liu, Z.-C. Chen and Q.-G. Huang, Implications for the non-Gaussianity of curvature perturbation from pulsar timing arrays, Phys. Rev. D 109 (2024) L061301 [2307.01102].
  • [20] Y.-F. Cai, X.-C. He, X.-H. Ma, S.-F. Yan and G.-W. Yuan, Limits on scalar-induced gravitational waves from the stochastic background by pulsar timing array observations, Sci. Bull. 68 (2023) 2929 [2306.17822].
  • [21] K. Inomata, K. Kohri and T. Terada, Detected stochastic gravitational waves and subsolar-mass primordial black holes, Phys. Rev. D 109 (2024) 063506 [2306.17834].
  • [22] K. Inomata, M. Kawasaki, K. Mukaida and T.T. Yanagida, Axion curvaton model for the gravitational waves observed by pulsar timing arrays, Phys. Rev. D 109 (2024) 043508 [2309.11398].
  • [23] K.T. Abe and Y. Tada, Translating nano-Hertz gravitational wave background into primordial perturbations taking account of the cosmological QCD phase transition, Phys. Rev. D 108 (2023) L101304 [2307.01653].
  • [24] Z. Yi, Q. Gao, Y. Gong, Y. Wang and F. Zhang, Scalar induced gravitational waves in light of Pulsar Timing Array data, Sci. China Phys. Mech. Astron. 66 (2023) 120404 [2307.02467].
  • [25] J.-Z. Zhou, Y.-T. Kuang, Z. Chang, X. Zhang and Q.-H. Zhu, Primordial black holes and scalar induced density perturbations: the effects of probability density functions*, Chin. Phys. C 49 (2025) 025105 [2307.02067].
  • [26] H. Firouzjahi and A. Talebian, Induced gravitational waves from ultra slow-roll inflation and pulsar timing arrays observations, JCAP 10 (2023) 032 [2307.03164].
  • [27] Z.-Q. You, Z. Yi and Y. Wu, Constraints on primordial curvature power spectrum with pulsar timing arrays, JCAP 11 (2023) 065 [2307.04419].
  • [28] P. Bari, N. Bartolo, G. Domènech and S. Matarrese, Gravitational waves induced by scalar-tensor mixing, Phys. Rev. D 109 (2024) 023509 [2307.05404].
  • [29] D.G. Figueroa, M. Pieroni, A. Ricciardone and P. Simakachorn, Cosmological Background Interpretation of Pulsar Timing Array Data, Phys. Rev. Lett. 132 (2024) 171002 [2307.02399].
  • [30] K. Harigaya, K. Inomata and T. Terada, Induced gravitational waves with kination era for recent pulsar timing array signals, Phys. Rev. D 108 (2023) 123538 [2309.00228].
  • [31] S. Balaji, G. Domènech and G. Franciolini, Scalar-induced gravitational wave interpretation of PTA data: the role of scalar fluctuation propagation speed, JCAP 10 (2023) 041 [2307.08552].
  • [32] Z.-C. Chen, J. Li, L. Liu and Z. Yi, Probing the speed of scalar-induced gravitational waves with pulsar timing arrays, Phys. Rev. D 109 (2024) L101302 [2401.09818].
  • [33] H. Firouzjahi and A. Riotto, Sign of non-Gaussianity and the primordial black holes abundance, Phys. Rev. D 108 (2023) 123504 [2309.10536].
  • [34] S. Choudhury, K. Dey, A. Karde, S. Panda and M. Sami, Primordial non-Gaussianity as a saviour for PBH overproduction in SIGWs generated by pulsar timing arrays for Galileon inflation, Phys. Lett. B 856 (2024) 138925 [2310.11034].
  • [35] S. Choudhury, K. Dey and A. Karde, Untangling PBH Overproduction in ww-SIGWs Generated by Pulsar Timing Arrays for MST-EFT of Single Field Inflation, Fortsch. Phys. 74 (2026) e70067 [2311.15065].
  • [36] G. Domènech and A. Ganz, Enhanced induced gravitational waves in Horndeski gravity, JCAP 01 (2025) 020 [2406.19950].
  • [37] S. Wang, Z.-C. Zhao and Q.-H. Zhu, Constraints on scalar-induced gravitational waves up to third order from a joint analysis of BBN, CMB, and PTA data, Phys. Rev. Res. 6 (2024) 013207 [2307.03095].
  • [38] Q.-H. Zhu, Z.-C. Zhao, S. Wang and X. Zhang, Unraveling the early universe’s equation of state and primordial black hole production with PTA, BBN, and CMB observations*, Chin. Phys. C 48 (2024) 125105 [2307.13574].
  • [39] J.-Z. Zhou, Y.-T. Kuang, Z. Chang and H. Lü, Constraints on Primordial Black Holes from Neff : Scalar-induced Gravitational Waves as an Extra Radiation Component, Astrophys. J. 979 (2025) 178 [2410.10111].
  • [40] J.-Z. Zhou, Z.-C. Li and D. Wu, Cosmological constraints on small-scale primordial non-Gaussianity, Phys. Rev. D 112 (2025) 063511 [2505.22614].
  • [41] D. Wu, J.-Z. Zhou, Y.-T. Kuang, Z.-C. Li, Z. Chang and Q.-G. Huang, Can tensor-scalar induced GWs dominate PTA observations?, JCAP 03 (2025) 045 [2501.00228].
  • [42] S. Choudhury, K. Dey, S. Ganguly, A. Karde, S.K. Singh and P. Tiwari, Negative non-Gaussianity as a salvager for PBHs with PTAs in bounce, Eur. Phys. J. C 85 (2025) 472 [2409.18983].
  • [43] J. Jiang, J. Lin and X. Gao, Scalar-induced gravitational waves in spatially covariant gravity, 2508.20000.
  • [44] J.-X. Feng, F. Zhang and X. Gao, Scalar induced gravitational waves in chiral scalar–tensor theory of gravity, Eur. Phys. J. C 84 (2024) 736 [2404.05289].
  • [45] R. Roshan and G. White, Using gravitational waves to see the first second of the Universe, Rev. Mod. Phys. 97 (2025) 015001 [2401.04388].
  • [46] G. Domènech, S. Pi and A. Wang, A Unified Origin of Primordial Black Hole Dark Matter and Nanohertz Gravitational Waves, 2602.24061.
  • [47] C. Yuan, Z.-C. Chen and Q.-G. Huang, Probing primordial–black-hole dark matter with scalar induced gravitational waves, Phys. Rev. D 100 (2019) 8 [1906.11549].
  • [48] J.-Z. Zhou, X. Zhang, Q.-H. Zhu and Z. Chang, The third order scalar induced gravitational waves, JCAP 05 (2022) 013 [2106.01641].
  • [49] Z. Chang, Y.-T. Kuang, X. Zhang and J.-Z. Zhou, Primordial black holes and third order scalar induced gravitational waves*, Chin. Phys. C 47 (2023) 055104 [2209.12404].
  • [50] Z. Chang, Y.-T. Kuang, D. Wu and J.-Z. Zhou, Probing scalar induced gravitational waves with PTA and LISA: the importance of third order correction, JCAP 2024 (2024) 044 [2312.14409].
  • [51] J.-Z. Zhou, Y.-T. Kuang, D. Wu, H. Lü and Z. Chang, Induced gravitational waves for arbitrary higher orders: Vertex rules and loop diagrams in cosmological perturbation theory, Phys. Rev. D 111 (2025) 083512 [2408.14052].
  • [52] C.J. Moore and A. Vecchio, Ultra-low-frequency gravitational waves from cosmological and astrophysical processes, Nature Astron. 5 (2021) 1268 [2104.15130].
  • [53] M. Maggiore, Gravitational Waves. Vol. 2: Astrophysics and Cosmology, Oxford University Press (3, 2018).
  • [54] T.L. Smith, E. Pierpaoli and M. Kamionkowski, A new cosmic microwave background constraint to primordial gravitational waves, Phys. Rev. Lett. 97 (2006) 021301 [astro-ph/0603144].
  • [55] T.J. Clarke, E.J. Copeland and A. Moss, Constraints on primordial gravitational waves from the Cosmic Microwave Background, JCAP 10 (2020) 002 [2004.11396].
  • [56] DESI collaboration, DESI DR2 results. II. Measurements of baryon acoustic oscillations and cosmological constraints, Phys. Rev. D 112 (2025) 083515 [2503.14738].
  • [57] S. Wang and Z.-C. Zhao, New constraints on cosmological gravitational waves from CMB and BAO in light of dynamical dark energy*, Chin. Phys. 50 (2026) 025105 [2507.06930].
  • [58] G. Cabass, L. Pagano, L. Salvati, M. Gerbino, E. Giusarma and A. Melchiorri, Updated Constraints and Forecasts on Primordial Tensor Modes, Phys. Rev. D 93 (2016) 063508 [1511.05146].
  • [59] X.-J. Liu, W. Zhao, Y. Zhang and Z.-H. Zhu, Detecting Relic Gravitational Waves by Pulsar Timing Arrays: Effects of Cosmic Phase Transitions and Relativistic Free-Streaming Gases, Phys. Rev. D 93 (2016) 024031 [1509.03524].
  • [60] S. Vagnozzi, Inflationary interpretation of the stochastic gravitational wave background signal detected by pulsar timing array experiments, JHEAp 39 (2023) 81 [2306.16912].
  • [61] T. Bringmann, P.F. Depta, T. Konstandin, K. Schmidt-Hoberg and C. Tasillo, Does NANOGrav observe a dark sector phase transition?, JCAP 11 (2023) 053 [2306.09411].
  • [62] M. Tagliazucchi, M. Braglia, F. Finelli and M. Pieroni, Quest for CMB spectral distortions to probe the scalar-induced gravitational wave background interpretation of pulsar timing array data, Phys. Rev. D 111 (2025) L021305 [2310.08527].
  • [63] D. Wu, Z.-C. Li, P.-Y. Wu, F.-Y. Chen and J.-Z. Zhou, Probing small-scale primordial power spectra with tensor-scalar induced gravitational waves, 2507.07836.
  • [64] J. Carron, M. Mirmelstein and A. Lewis, CMB lensing from Planck PR4 maps, JCAP 09 (2022) 039 [2206.07773].
  • [65] SPT-3G collaboration, Cosmology from CMB lensing and delensed EE power spectra using 2019–2020 SPT-3G polarization data, Phys. Rev. D 111 (2025) 083534 [2411.06000].
  • [66] SPT-3G collaboration, SPT-3G D1: CMB temperature and polarization power spectra and cosmology from 2019 and 2020 observations of the SPT-3G Main field, 2506.20707.
  • [67] ACT, SPT-3G collaboration, Unified and Consistent Structure Growth Measurements from Joint ACT, SPT, and Planck CMB Lensing, Phys. Rev. Lett. 136 (2026) 021001 [2504.20038].
  • [68] Atacama Cosmology Telescope collaboration, The Atacama Cosmology Telescope: DR6 power spectra, likelihoods and ΛCDM parameters, JCAP 11 (2025) 062 [2503.14452].
  • [69] LiteBIRD collaboration, Probing Cosmic Inflation with the LiteBIRD Cosmic Microwave Background Polarization Survey, PTEP 2023 (2023) 042F01 [2202.02773].
  • [70] CMB-S4 collaboration, CMB-S4 Science Book, First Edition, 1610.02743.
  • [71] Y. Gong, X. Liu, Y. Cao, X. Chen, Z. Fan, R. Li et al., Cosmology from the Chinese Space Station Optical Survey (CSS-OS), Astrophys. J. 883 (2019) 203 [1901.04634].
  • [72] H. Miao, Y. Gong, X. Chen, Z. Huang, X.-D. Li and H. Zhan, Forecasting the BAO measurements of the CSST galaxy and AGN spectroscopic surveys, Mon. Not. Roy. Astron. Soc. 531 (2024) 3991 [2311.16903].
  • [73] C.-P. Ma and E. Bertschinger, Cosmological perturbation theory in the synchronous and conformal Newtonian gauges, Astrophys. J. 455 (1995) 7 [astro-ph/9506072].
  • [74] S. Dodelson, Modern Cosmology, Academic Press, Amsterdam (2003).
  • [75] Y.-H. Yu and S. Wang, Silk damping in scalar-induced gravitational waves: a novel probe for new physics, Sci. China Phys. Mech. Astron. 68 (2025) 210412 [2405.02960].
  • [76] Y.-H. Yu, Z. Chang and S. Wang, Comprehensive analysis of dissipative effects in the induced gravitational waves, JCAP 02 (2026) 011 [2510.18663].
  • [77] G. Domènech and J. Chluba, Regularizing the induced GW spectrum with dissipative effects, JCAP 07 (2025) 034 [2503.13670].
  • [78] S. Wang, T. Terada and K. Kohri, Prospective constraints on the primordial black hole abundance from the stochastic gravitational-wave backgrounds produced by coalescing events and curvature perturbations, Phys. Rev. D 99 (2019) 103531 [1903.05924].
  • [79] Planck collaboration, Planck 2018 results. VI. Cosmological parameters, Astron. Astrophys. 641 (2020) A6 [1807.06209].
  • [80] K. Saikawa and S. Shirai, Primordial gravitational waves, precisely: The role of thermodynamics in the Standard Model, JCAP 05 (2018) 035 [1803.01038].
  • [81] Z.-C. Zhao and S. Wang, Bayesian Implications for the Primordial Black Holes from NANOGrav’s Pulsar-Timing Data Using the Scalar-Induced Gravitational Waves, Universe 9 (2023) 157 [2211.09450].
  • [82] M. Bucher, K. Moodley and N. Turok, The General primordial cosmic perturbation, Phys. Rev. D 62 (2000) 083508 [astro-ph/9904231].
  • [83] M. Chevallier and D. Polarski, Accelerating universes with scaling dark matter, Int. J. Mod. Phys. D 10 (2001) 213 [gr-qc/0009008].
  • [84] E.V. Linder, Exploring the expansion history of the universe, Phys. Rev. Lett. 90 (2003) 091301 [astro-ph/0208512].
  • [85] D. Blas, J. Lesgourgues and T. Tram, The Cosmic Linear Anisotropy Solving System (CLASS) II: Approximation schemes, JCAP 07 (2011) 034 [1104.2933].
  • [86] J. Torrado and A. Lewis, Cobaya: Code for Bayesian Analysis of hierarchical physical models, JCAP 05 (2021) 057 [2005.05290].
  • [87] T. Brinckmann and J. Lesgourgues, MontePython 3: boosted MCMC sampler and other features, Phys. Dark Univ. 24 (2019) 100260 [1804.07261].
  • [88] B. Audren, J. Lesgourgues, K. Benabed and S. Prunet, Conservative Constraints on Early Cosmology: an illustration of the Monte Python cosmological parameter inference code, JCAP 1302 (2013) 001 [1210.7183].
  • [89] W.G. Lamb, S.R. Taylor and R. van Haasteren, Rapid refitting techniques for Bayesian spectral characterization of the gravitational wave background using pulsar timing arrays, Phys. Rev. D 108 (2023) 103019 [2303.15442].
  • [90] EPTA, InPTA collaboration, The second data release from the European Pulsar Timing Array IV. Implications for massive black holes, dark matter, and the early Universe, Astron. Astrophys. 685 (2024) A94 [2306.16227].
  • [91] R.E. Kass and A.E. Raftery, Bayes factors, Journal of the american statistical association 90 (1995) 773.
  • [92] H. Jeffreys, The theory of probability, OuP Oxford (1998).
  • [93] R.-G. Cai, S. Pi and M. Sasaki, Universal infrared scaling of gravitational wave background spectra, Phys. Rev. D 102 (2020) 083528 [1909.13728].
  • [94] C. Yuan, Z.-C. Chen and Q.-G. Huang, Log-dependent slope of scalar induced gravitational waves in the infrared regions, Phys. Rev. D 101 (2020) 4 [1910.09099].
  • [95] J.-P. Li, S. Wang, Z.-C. Zhao and K. Kohri, Isotropy, anisotropies and non-Gaussianity in the scalar-induced gravitational-wave background: diagrammatic approach for primordial non-Gaussianity up to arbitrary order, 2505.16820.
  • [96] SKAO Pulsar Science Working Group collaboration, The SKAO Pulsar Timing Array, 2512.16163.
  • [97] L.-F. Wang, Y. Shao, S.-R. Xiao, J.-F. Zhang and X. Zhang, Ultra-low-frequency gravitational waves from individual supermassive black hole binaries as standard sirens, JCAP 05 (2025) 095 [2201.00607].
  • [98] S.-R. Xiao, Y. Shao, L.-F. Wang, J.-Y. Song, L. Feng, J.-F. Zhang et al., Nanohertz gravitational waves from a quasar-based supermassive black hole binary population model as dark sirens, JCAP 04 (2025) 060 [2408.00609].
  • [99] S.-R. Xiao, J.-Y. Song, Y. Shao, L.-F. Wang, J.-F. Zhang and X. Zhang, Two-Dimensional Pulsar Distance Inference from Nanohertz Gravitational Waves, 2512.10729.
  • [100] P. Jiang, R. Chen, H. Gan, J. Sun, B. Zhu, H. Li et al., The fast core array, Astronomical Techniques and Instruments 1 (2024) 84.
  • [101] J.R. Pritchard and A. Loeb, 21-cm cosmology, Rept. Prog. Phys. 75 (2012) 086901 [1109.6012].
  • [102] M. Zhang, B. Wang, P.-J. Wu, J.-Z. Qi, Y. Xu, J.-F. Zhang et al., Prospects for Constraining Interacting Dark Energy Models with 21 cm Intensity Mapping Experiments, Astrophys. J. 918 (2021) 56 [2102.03979].
  • [103] P.-J. Wu and X. Zhang, Prospects for measuring dark energy with 21 cm intensity mapping experiments, JCAP 01 (2022) 060 [2108.03552].
  • [104] P.-J. Wu, Y. Shao, S.-J. Jin and X. Zhang, A path to precision cosmology: synergy between four promising late-universe cosmological probes, JCAP 06 (2023) 052 [2202.09726].
  • [105] P.-J. Wu, Y. Li, J.-F. Zhang and X. Zhang, Prospects for measuring dark energy with 21 cm intensity mapping experiments: A joint survey strategy, Sci. China Phys. Mech. Astron. 66 (2023) 270413 [2212.07681].
  • [106] J.-D. Pan, P.-J. Wu, G.-H. Du, Y. Li and X. Zhang, Prospects for cosmological research with the FAST array: 21-cm intensity mapping survey observation strategies, JCAP 01 (2025) 080 [2408.00268].
  • [107] A.M. Green and B.J. Kavanagh, Primordial Black Holes as a dark matter candidate, J. Phys. G 48 (2021) 043001 [2007.10722].
  • [108] C.-M. Yoo, T. Harada, J. Garriga and K. Kohri, Primordial black hole abundance from random Gaussian curvature perturbations and a local density threshold, PTEP 2018 (2018) 123E01 [1805.03946].
  • [109] J. Yokoyama, Cosmological constraints on primordial black holes produced in the near critical gravitational collapse, Phys. Rev. D58 (1998) 107502 [gr-qc/9804041].
  • [110] B. Carr, F. Kuhnel and M. Sandstad, Primordial Black Holes as Dark Matter, Phys. Rev. D94 (2016) 083504 [1607.06077].
  • [111] W.H. Press and P. Schechter, Formation of galaxies and clusters of galaxies by selfsimilar gravitational condensation, Astrophys. J. 187 (1974) 425.
  • [112] J.C. Niemeyer and K. Jedamzik, Near-critical gravitational collapse and the initial mass function of primordial black holes, Phys. Rev. Lett. 80 (1998) 5481 [astro-ph/9709072].
  • [113] T. Koike, T. Hara and S. Adachi, Critical behavior in gravitational collapse of radiation fluid: A Renormalization group (linear perturbation) analysis, Phys. Rev. Lett. 74 (1995) 5170 [gr-qc/9503007].
  • [114] J.C. Niemeyer and K. Jedamzik, Dynamics of primordial black hole formation, Phys. Rev. D 59 (1999) 124013 [astro-ph/9901292].
  • [115] I. Musco, J.C. Miller and L. Rezzolla, Computations of primordial black hole formation, Class. Quant. Grav. 22 (2005) 1405 [gr-qc/0412063].
  • [116] I. Musco, J.C. Miller and A.G. Polnarev, Primordial black hole formation in the radiative era: Investigation of the critical nature of the collapse, Class. Quant. Grav. 26 (2009) 235001 [0811.1452].
  • [117] I. Musco and J.C. Miller, Primordial black hole formation in the early universe: critical behaviour and self-similarity, Class. Quant. Grav. 30 (2013) 145009 [1201.2379].
  • [118] S. Young, C.T. Byrnes and M. Sasaki, Calculating the mass fraction of primordial black holes, JCAP 07 (2014) 045 [1405.7023].
  • [119] K. Ando, K. Inomata and M. Kawasaki, Primordial black holes and uncertainties in the choice of the window function, Phys. Rev. D 97 (2018) 103528 [1802.06393].
  • [120] J.-P. Li, S. Wang, Z.-C. Zhao and K. Kohri, Primordial non-Gaussianity f NL and anisotropies in scalar-induced gravitational waves, JCAP 10 (2023) 056 [2305.19950].
  • [121] J.-P. Li, S. Wang, Z.-C. Zhao and K. Kohri, Complete analysis of the background and anisotropies of scalar-induced gravitational waves: primordial non-Gaussianity f NL and g NL considered, JCAP 06 (2024) 039 [2309.07792].
  • [122] Z. Chang, Y.-T. Kuang, D. Wu, J.-Z. Zhou and Q.-H. Zhu, New constraints on primordial non-Gaussianity from missing two-loop contributions of scalar induced gravitational waves, Phys. Rev. D 109 (2024) L041303 [2311.05102].
  • [123] V. De Luca, A. Kehagias and A. Riotto, How well do we know the primordial black hole abundance: The crucial role of nonlinearities when approaching the horizon, Phys. Rev. D 108 (2023) 063531 [2307.13633].
  • [124] A.J. Iovino, S. Matarrese, G. Perna, A. Ricciardone and A. Riotto, How well do we know the scalar-induced gravitational waves?, Phys. Lett. B 872 (2026) 140039 [2412.06764].
  • [125] G. Domènech, S. Pi, A. Wang and J. Wang, Induced gravitational wave interpretation of PTA data: a complete study for general equation of state, JCAP 08 (2024) 054 [2402.18965].
  • [126] L. Liu, Z.-C. Chen and Q.-G. Huang, Probing the equation of state of the early Universe with pulsar timing arrays, JCAP 11 (2023) 071 [2307.14911].
  • [127] S. Pi, Non-Gaussianities and Primordial Black Holes, 2404.06151.
  • [128] G. Domènech and S. Pi, NANOGrav hints on planet-mass primordial black holes, Sci. China Phys. Mech. Astron. 65 (2022) 230411 [2010.03976].
  • [129] V. Vaskonen and H. Veermäe, Lower bound on the primordial black hole merger rate, Phys. Rev. D 101 (2020) 043015 [1908.09752].
  • [130] V. De Luca, G. Franciolini, P. Pani and A. Riotto, Constraints on Primordial Black Holes: the Importance of Accretion, Phys. Rev. D 102 (2020) 043505 [2003.12589].
  • [131] Y. Ali-Haı̈moud and M. Kamionkowski, Cosmic microwave background limits on accreting primordial black holes, Phys. Rev. D 95 (2017) 043534 [1612.05644].