Practical approaches to analyzing PTA data: Cosmic strings with six pulsars

Author(s)

Quelquejay Leclere, Hippolyte, Auclair, Pierre, Babak, Stanislav, Chalumeau, Aurélien, Steer, Danièle A., Antoniadis, J., Nielsen, A.-S. Bak, Bassa, C.G., Berthereau, A., Bonetti, M., Bortolas, E., Brook, P.R., Burgay, M., Caballero, R.N., Champion, D.J., Chanlaridis, S., Chen, S., Cognard, I., Desvignes, G., Falxa, M., Ferdman, R.D., Franchini, A., Gair, J.R., Goncharov, B., Graikou, E., Grießmeier, J.-M., Guillemot, L., Guo, Y.J., Hu, H., Iraci, F., Izquierdo-Villalba, D., Jang, J., Jawor, J., Janssen, G.H., Jessner, A., Karuppusamy, R., Keane, E.F., Keith, M.J., Kramer, M., Krishnakumar, M.A., Lackeos, K., Lee, K.J., Liu, K., Liu, Y., Lyne, A.G., McKee, J.W., Main, R.A., Mickaliger, M.B., Niţu, I.C., Parthasarathy, A., Perera, B.B.P., Perrodin, D., Petiteau, A., Porayko, N.K., Possenti, A., Samajdar, A., Sanidas, S.A., Sesana, A., Shaifullah, G., Speri, L., Spiewak, R., Stappers, B.W., Susarla, S.C., Theureau, G., Tiburzi, C., van der Wateren, E., Vecchio, A., Venkatraman Krishnan, V., Verbiest, J.P.W., Wang, J., Wang, L., Wu, Z.

Abstract

We search for a stochastic gravitational wave background (SGWB) generated by a network of cosmic strings using six millisecond pulsars from Data Release 2 (DR2) of the European Pulsar Timing Array (EPTA). We perform a Bayesian analysis considering two models for the network of cosmic string loops, and compare it to a simple power-law model which is expected from the population of supermassive black hole binaries. Our main strong assumption is that the previously reported common red noise process is a SGWB. We find that the one-parameter cosmic string model is slightly favored over a power-law model thanks to its simplicity. If we assume a two-component stochastic signal in the data (supermassive black hole binary population and the signal from cosmic strings), we get a 95% upper limit on the string tension of <math display="inline"><mrow><msub><mrow><mi>log</mi></mrow><mrow><mn>10</mn></mrow></msub><mo stretchy="false">(</mo><mi>G</mi><mi>μ</mi><mo stretchy="false">)</mo><mo>&lt;</mo><mo>-</mo><mn>9.9</mn></mrow></math> (<math display="inline"><mo>-</mo><mn>10.5</mn></math>) for the two cosmic string models we consider. In extended two-parameter string models, we were unable to constrain the number of kinks. We test two approximate and fast Bayesian data analysis methods against the most rigorous analysis and find consistent results. These two fast and efficient methods are applicable to all SGWBs, independent of their source, and will be crucial for analysis of extended datasets.

Figures

SGWB from a network of cosmic string loops, expressed in terms of characteristic energy density. The spectrum is computed using the BOS (resp.~LRS) loop number density model for the solid (resp.~dashed) lines. Here we have taken $N_c=2, N_k=0$ leading to $\Gamma =57$. For each model, computations using three different tension values $G\mu$ are represented. The sensitivity frequency range of EPTA corresponds to the yellow band.
Caption SGWB from a network of cosmic string loops, expressed in terms of characteristic energy density. The spectrum is computed using the BOS (resp.~LRS) loop number density model for the solid (resp.~dashed) lines. Here we have taken $N_c=2, N_k=0$ leading to $\Gamma =57$. For each model, computations using three different tension values $G\mu$ are represented. The sensitivity frequency range of EPTA corresponds to the yellow band.
Comparison of the string tension posteriors (for two string models, BOS and LRS) obtained with the Full method (dashed lines), Resampling (RS) method (dotted lines) and with the free spectrum (FS) method (solid lines). We assume here that the loops are populated by two cusps, leading to $\Gamma = 57$.
Caption Comparison of the string tension posteriors (for two string models, BOS and LRS) obtained with the Full method (dashed lines), Resampling (RS) method (dotted lines) and with the free spectrum (FS) method (solid lines). We assume here that the loops are populated by two cusps, leading to $\Gamma = 57$.
Left panel: posterior for the two-component SGWB model composed of (i) a signal originating from a population of circular GW-driven SMBHB, parameterised by its PSD amplitude $\log_{10} A$ at $f=1/$year, and (ii) a SGWB from smooth CS loops background using the BOS loop number density model; different lines styles (dashed, dotted, solid) corresponding to three methods (Full, RS, FS) show good consistency. The $95$-quantile for each SGWB parameter posterior is plotted in black, using the line style associated with its respective method. Right panel: the same for the LRS loop number density model.
Caption Left panel: posterior for the two-component SGWB model composed of (i) a signal originating from a population of circular GW-driven SMBHB, parameterised by its PSD amplitude $\log_{10} A$ at $f=1/$year, and (ii) a SGWB from smooth CS loops background using the BOS loop number density model; different lines styles (dashed, dotted, solid) corresponding to three methods (Full, RS, FS) show good consistency. The $95$-quantile for each SGWB parameter posterior is plotted in black, using the line style associated with its respective method. Right panel: the same for the LRS loop number density model.
Left panel: posterior for the two-component SGWB model composed of (i) a signal originating from a population of circular GW-driven SMBHB, parameterised by its PSD amplitude $\log_{10} A$ at $f=1/$year, and (ii) a SGWB from smooth CS loops background using the BOS loop number density model; different lines styles (dashed, dotted, solid) corresponding to three methods (Full, RS, FS) show good consistency. The $95$-quantile for each SGWB parameter posterior is plotted in black, using the line style associated with its respective method. Right panel: the same for the LRS loop number density model.
Caption Left panel: posterior for the two-component SGWB model composed of (i) a signal originating from a population of circular GW-driven SMBHB, parameterised by its PSD amplitude $\log_{10} A$ at $f=1/$year, and (ii) a SGWB from smooth CS loops background using the BOS loop number density model; different lines styles (dashed, dotted, solid) corresponding to three methods (Full, RS, FS) show good consistency. The $95$-quantile for each SGWB parameter posterior is plotted in black, using the line style associated with its respective method. Right panel: the same for the LRS loop number density model.
Left panel: posterior for two-dimensional (string tension and the average number of kinks on loops of the network) BOS model; different lines styles corresponding to three methods (Full, RS, FS) show full consistency. Right panel: the same for the LRS loop number density model.
Caption Left panel: posterior for two-dimensional (string tension and the average number of kinks on loops of the network) BOS model; different lines styles corresponding to three methods (Full, RS, FS) show full consistency. Right panel: the same for the LRS loop number density model.
Left panel: posterior for two-dimensional (string tension and the average number of kinks on loops of the network) BOS model; different lines styles corresponding to three methods (Full, RS, FS) show full consistency. Right panel: the same for the LRS loop number density model.
Caption Left panel: posterior for two-dimensional (string tension and the average number of kinks on loops of the network) BOS model; different lines styles corresponding to three methods (Full, RS, FS) show full consistency. Right panel: the same for the LRS loop number density model.
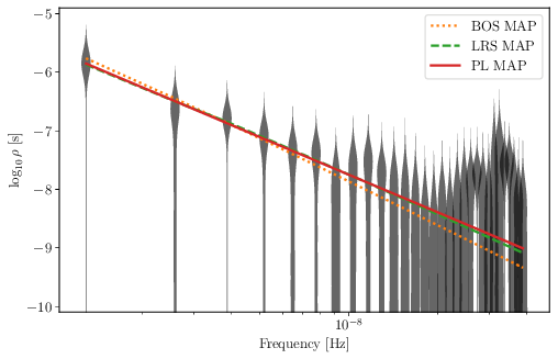
Posterior distributions of the 30 $\rho_k$ coefficients (in $\log_{10}$-scale). We over-plotted the best fit (using the FS likelihood of \cref{eq:FS_part_Fact_Lklhd}) for three different PSDs: powerlaw, SGWB using BOS and LRS models (in the case of smoothed loops). We see that all three spectra behave in a similar way at low frequency bins.
Caption Posterior distributions of the 30 $\rho_k$ coefficients (in $\log_{10}$-scale). We over-plotted the best fit (using the FS likelihood of \cref{eq:FS_part_Fact_Lklhd}) for three different PSDs: powerlaw, SGWB using BOS and LRS models (in the case of smoothed loops). We see that all three spectra behave in a similar way at low frequency bins.
Marginalized red noise parameters posteriors for the pulsar J1909-3744 obtained with the Full method including HD correlation for the common red noise process. Brown dashed and solid lines were obtained using different prior on the power in the Fourier bins (passing from $-10$ to $-15$ for the $\log_{10}\rho_k$ lower bound). The solid line (restricted prior) suggests a truncated correlation of the common red noise with the spin red noise of J1909-3744. We also plotted for comparison those posteriors when using as common red noise, a SGWB from cosmic string following the BOS (blue line)/LRS (orange line) models.
Caption Marginalized red noise parameters posteriors for the pulsar J1909-3744 obtained with the Full method including HD correlation for the common red noise process. Brown dashed and solid lines were obtained using different prior on the power in the Fourier bins (passing from $-10$ to $-15$ for the $\log_{10}\rho_k$ lower bound). The solid line (restricted prior) suggests a truncated correlation of the common red noise with the spin red noise of J1909-3744. We also plotted for comparison those posteriors when using as common red noise, a SGWB from cosmic string following the BOS (blue line)/LRS (orange line) models.
Comparison of three parameter noise posteriors when including HD-correlation (blue line) or not (green line) for the common red noise. The parameters plotted (and their respective Jensen-Shannon distance) are from top to bottom : the first $\rho$ component of the FS (0.11), the sixth $\rho$ component of the FS (0.08) and the log amplitude of the intrinsic red noise of PSR J0613-0200 (0.06).
Caption Comparison of three parameter noise posteriors when including HD-correlation (blue line) or not (green line) for the common red noise. The parameters plotted (and their respective Jensen-Shannon distance) are from top to bottom : the first $\rho$ component of the FS (0.11), the sixth $\rho$ component of the FS (0.08) and the log amplitude of the intrinsic red noise of PSR J0613-0200 (0.06).
Comparison of three parameter noise posteriors when including HD-correlation (blue line) or not (green line) for the common red noise. The parameters plotted (and their respective Jensen-Shannon distance) are from top to bottom : the first $\rho$ component of the FS (0.11), the sixth $\rho$ component of the FS (0.08) and the log amplitude of the intrinsic red noise of PSR J0613-0200 (0.06).
Caption Comparison of three parameter noise posteriors when including HD-correlation (blue line) or not (green line) for the common red noise. The parameters plotted (and their respective Jensen-Shannon distance) are from top to bottom : the first $\rho$ component of the FS (0.11), the sixth $\rho$ component of the FS (0.08) and the log amplitude of the intrinsic red noise of PSR J0613-0200 (0.06).
Comparison of three parameter noise posteriors when including HD-correlation (blue line) or not (green line) for the common red noise. The parameters plotted (and their respective Jensen-Shannon distance) are from top to bottom : the first $\rho$ component of the FS (0.11), the sixth $\rho$ component of the FS (0.08) and the log amplitude of the intrinsic red noise of PSR J0613-0200 (0.06).
Caption Comparison of three parameter noise posteriors when including HD-correlation (blue line) or not (green line) for the common red noise. The parameters plotted (and their respective Jensen-Shannon distance) are from top to bottom : the first $\rho$ component of the FS (0.11), the sixth $\rho$ component of the FS (0.08) and the log amplitude of the intrinsic red noise of PSR J0613-0200 (0.06).
2d-posterior of the kinky loops BOS model SGWB using a more restricted prior for the FS method: $\log_{10} \rho \in [-10, -4]$.
Caption 2d-posterior of the kinky loops BOS model SGWB using a more restricted prior for the FS method: $\log_{10} \rho \in [-10, -4]$.
References
  • 1S. Chen , Mon. Not. R. Astron. Soc. 508, 4970 (2021).MNRAA40035-871110.1093/mnras/stab2833
  • 2N. Arzoumanian , Astrophys. J. Lett. 905, L34 (2020).AJLEEY2041-821310.3847/2041-8213/abd401
  • 3B. Goncharov , Astrophys. J. Lett. 917, L19 (2021).AJLEEY2041-821310.3847/2041-8213/ac17f4
  • 4J. Antoniadis , Mon. Not. R. Astron. Soc. 510, 4873 (2022).MNRAA40035-871110.1093/mnras/stab3418
  • 5J. Antoniadis (EPTA Collaboration), Astron. Astrophys. 678, A50 (2023).AAEJAF0004-636110.1051/0004-6361/202346844
  • 6G. Agazie , Astrophys. J. Lett. 951, L8 (2023).AJLEEY2041-821310.3847/2041-8213/acdac6
  • 7D. J. Reardon , Astrophys. J. Lett. 951, L6 (2023).AJLEEY2041-821310.3847/2041-8213/acdd02
  • 8H. Xu , Res. Astron. Astrophys. 23, 075024 (2023).1674-452710.1088/1674-4527/acdfa5
  • 9G. Agazie (NANOGrav Collaboration), Astrophys. J. Lett. 952, L37 (2023).AJLEEY2041-821310.3847/2041-8213/ace18b
  • 10A. Sesana, Mon. Not. R. Astron. Soc. 433, L1 (2013).MNRAA40035-871110.1093/mnrasl/slt034
  • 11E. S. Phinney, arXiv:astro-ph/0108028.
  • 12A. Sesana, Classical Quantum Gravity 30, 244009 (2013).CQGRDG0264-938110.1088/0264-9381/30/24/244009
  • 13J. Ellis and M. Lewicki, Phys. Rev. Lett. 126, 041304 (2021).PRLTAO0031-900710.1103/PhysRevLett.126.041304
  • 14S. Blasi, V. Brdar, and K. Schmitz, Phys. Rev. Lett. 126, 041305 (2021).PRLTAO0031-900710.1103/PhysRevLett.126.041305
  • 15L. Bian, J. Shu, B. Wang, Q. Yuan, and J. Zong, Phys. Rev. D 106, L101301 (2022).PRVDAQ2470-001010.1103/PhysRevD.106.L101301
  • 16Z.-C. Chen, Y.-M. Wu, and Q.-G. Huang, Astrophys. J. 936, 20 (2022).ASJOAB0004-637X10.3847/1538-4357/ac86cb
  • 17M. Hindmarsh and J. Kume, J. Cosmol. Astropart. Phys. 04 (2023) 045.JCAPBP1475-751610.1088/1475-7516/2023/04/045
  • 18H. B. Nielsen and P. Olesen, Nucl. Phys. B61, 45 (1973).NUPBBO0550-321310.1016/0550-3213(73)90350-7
  • 19T. W. B. Kibble, J. Phys. A 9, 1387 (1976).JPHAC50305-447010.1088/0305-4470/9/8/029
  • 20aT. W. B. Kibble, Nucl. Phys. B252, 227 (1985); NUPBBO0550-321310.1016/0550-3213(85)90439-020bT. W. B. KibbleNucl. Phys.B261, 750(E) (1985).NUPBBO0550-321310.1016/0550-3213(85)90596-6
  • 20aT. W. B. Kibble, Nucl. Phys. B252, 227 (1985); NUPBBO0550-321310.1016/0550-3213(85)90439-020bT. W. B. KibbleNucl. Phys.B261, 750(E) (1985).NUPBBO0550-321310.1016/0550-3213(85)90596-6
  • 21R. Jeannerot, J. Rocher, and M. Sakellariadou, Phys. Rev. D 68, 103514 (2003).PRVDAQ0556-282110.1103/PhysRevD.68.103514
  • 22C. Ringeval, M. Sakellariadou, and F. Bouchet, J. Cosmol. Astropart. Phys. 02 (2007) 023.JCAPBP1475-751610.1088/1475-7516/2007/02/023
  • 23C. J. A. P. Martins and E. P. S. Shellard, Phys. Rev. D 73, 043515 (2006).PRVDAQ1550-799810.1103/PhysRevD.73.043515
  • 24K. D. Olum and V. Vanchurin, Phys. Rev. D 75, 063521 (2007).PRVDAQ1550-799810.1103/PhysRevD.75.063521
  • 25M. Hindmarsh, S. Stuckey, and N. Bevis, Phys. Rev. D 79, 123504 (2009).PRVDAQ1550-799810.1103/PhysRevD.79.123504
  • 26D. Matsunami, L. Pogosian, A. Saurabh, and T. Vachaspati, Phys. Rev. Lett. 122, 201301 (2019).PRLTAO0031-900710.1103/PhysRevLett.122.201301
  • 27M. Hindmarsh, J. Lizarraga, A. Urio, and J. Urrestilla, Phys. Rev. D 104, 043519 (2021).PRVDAQ2470-001010.1103/PhysRevD.104.043519
  • 28P. Auclair, D. A. Steer, and T. Vachaspati, Phys. Rev. D 101, 083511 (2020).PRVDAQ2470-001010.1103/PhysRevD.101.083511
  • 29P. Auclair, K. Leyde, and D. A. Steer, J. Cosmol. Astropart. Phys. 04 (2023) 005.JCAPBP1475-751610.1088/1475-7516/2023/04/005
  • 30B. P. Abbott (LIGO Scientific and Virgo Collaborations), Phys. Rev. D 97, 102002 (2018).PRVDAQ2470-001010.1103/PhysRevD.97.102002
  • 31R. Abbott (LIGO Scientific, Virgo, and KAGRA Collaborations), Phys. Rev. Lett. 126, 241102 (2021).PRLTAO0031-900710.1103/PhysRevLett.126.241102
  • 32P. Auclair, J. J. Blanco-Pillado, D. G. Figueroa, A. C. Jenkins, M. Lewicki, M. Sakellariadou, S. Sanidas, L. Sousa, D. A. Steer, J. M. Wachter, and S. Kuroyanagi, J. Cosmol. Astropart. Phys. 04 (2020) 034.JCAPBP1475-751610.1088/1475-7516/2020/04/034
  • 33P. Auclair (LISA Cosmology Working Group), Living Rev. Relativity 26, 5 (2023).1433-835110.1007/s41114-023-00045-2
  • 34R. W. Hellings and G. S. Downs, Astrophys. J. 265 (1983).ASJOAB0004-637X10.1086/183954
  • 35A. Chalumeau , Mon. Not. R. Astron. Soc. 509, 5538 (2021).MNRAA40035-871110.1093/mnras/stab3283
  • 36R. van Haasteren and Y. Levin, Mon. Not. R. Astron. Soc. 428, 1147 (2012).MNRAA40035-871110.1093/mnras/sts097
  • 37R. van Haasteren and M. Vallisneri, Phys. Rev. D 90, 104012 (2014).PRVDAQ1550-799810.1103/PhysRevD.90.104012
  • 38S. Hourihane, P. Meyers, A. Johnson, K. Chatziioannou, and M. Vallisneri, Phys. Rev. D 107, 084045 (2023).PRVDAQ2470-001010.1103/PhysRevD.107.084045
  • 39S. R. Taylor, J. Simon, L. Schult, N. Pol, and W. G. Lamb, Phys. Rev. D 105, 084049 (2022).PRVDAQ2470-001010.1103/PhysRevD.105.084049
  • 40W. G. Lamb, S. R. Taylor, and R. van Haasteren, Phys. Rev. D 108, 103019 (2023).PRVDAQ2470-001010.1103/PhysRevD.108.103019
  • 41C. J. Moore and A. Vecchio, Nat. Astron. 5, 1268 (2021).2397-336610.1038/s41550-021-01489-8
  • 42J. J. Blanco-Pillado, K. D. Olum, and B. Shlaer, Phys. Rev. D 89, 023512 (2014).PRVDAQ1550-799810.1103/PhysRevD.89.023512
  • 43T. Damour and A. Vilenkin, Phys. Rev. D 64, 064008 (2001).PRVDAQ0556-282110.1103/PhysRevD.64.064008
  • 44C. Ringeval and T. Suyama, J. Cosmol. Astropart. Phys. 12 (2017) 027.JCAPBP1475-751610.1088/1475-7516/2017/12/027
  • 45P. Binetruy, A. Bohe, T. Hertog, and D. A. Steer, Phys. Rev. D 82, 083524 (2010).PRVDAQ1550-799810.1103/PhysRevD.82.083524
  • 46P. Binetruy, A. Bohe, T. Hertog, and D. A. Steer, Phys. Rev. D 82, 126007 (2010).PRVDAQ1550-799810.1103/PhysRevD.82.126007
  • 47A. Vilenkin and E. P. S. Shellard, Cosmic Strings and Other Topological Defects, Cambridge Monographs on Mathematical Physics (Cambridge University Press, Cambridge, England, 1994), https://books.google.fr/books?id=alpjQgAACAAJ.
  • 48aN. Aghanim (Planck Collaboration), Astron. Astrophys. 641, A6 (2020); AAEJAF0004-636110.1051/0004-6361/20183391048bN. Aghanim (Planck Collaboration)Astron. Astrophys.652, C4(E) (2021).AAEJAF0004-636110.1051/0004-6361/201833910e
  • 48aN. Aghanim (Planck Collaboration), Astron. Astrophys. 641, A6 (2020); AAEJAF0004-636110.1051/0004-6361/20183391048bN. Aghanim (Planck Collaboration)Astron. Astrophys.652, C4(E) (2021).AAEJAF0004-636110.1051/0004-6361/201833910e
  • 49P. Auclair , J. Cosmol. Astropart. Phys. 04 (2020) 034.JCAPBP1475-751610.1088/1475-7516/2020/04/034
  • 50J. J. Blanco-Pillado and K. D. Olum, Phys. Rev. D 96, 104046 (2017).PRVDAQ2470-001010.1103/PhysRevD.96.104046
  • 51L. Lorenz, C. Ringeval, and M. Sakellariadou, J. Cosmol. Astropart. Phys. 10 (2010) 003.JCAPBP1475-751610.1088/1475-7516/2010/10/003
  • 52P. G. Auclair, J. Cosmol. Astropart. Phys. 11 (2020) 050.JCAPBP1475-751610.1088/1475-7516/2020/11/050
  • 53J. A. Ellis, M. Vallisneri, S. R. Taylor, and P. T. Baker, enterprise: Enhanced Numerical Toolbox Enabling a Robust PulsaR Inference SuitE, Zenodo v3.0.0 (2020), https://doi.org/10.5281/zenodo.4059815.
  • 54J. Ellis and R. van Haasteren, jellis18/ptmcmcsampler: Official release, 10.5281/zenodo.1037579 (2017).
  • 55S. Hee, W. J. Handley, M. P. Hobson, and A. N. Lasenby, Mon. Not. R. Astron. Soc. 455, 2461 (2015).MNRAA40035-871110.1093/mnras/stv2217
  • 56Z. Arzoumanian , Astrophys. J. 859, 47 (2018).ASJOAB0004-637X10.3847/1538-4357/aabd3b
  • 57D. Scott, Multivariate Density Estimation: Theory, Practice, and Visualization, Wiley Series in Probability and Statistics (John Wiley & Sons, New York, 2015), https://books.google.fr/books?id=XZ03BwAAQBAJ.
  • 58J. Skilling, in Bayesian Inference and Maximum Entropy Methods in Science and Engineering: 24th International Workshop on Bayesian Inference and Maximum Entropy Methods in Science and Engineering, American Institute of Physics Conference Series, Vol. 735, edited by R. Fischer, R. Preuss, and U. V. Toussaint (2004), pp. 395–405, 10.1063/1.1835238.
  • 59J. Skilling, Bayesian Anal. 1, 833 (2006).10.1214/06-BA127
  • 60aS. Koposov , joshspeagle/dynesty: v2.1.1 (2023), https://doi.org/10.5281/zenodo.8408702; 60bJ. S. Speagle, Mon. Not. R. Astron. Soc. 493, 3132 (2020).MNRAA40035-871110.1093/mnras/staa278
  • 60aS. Koposov , joshspeagle/dynesty: v2.1.1 (2023), https://doi.org/10.5281/zenodo.8408702; 60bJ. S. Speagle, Mon. Not. R. Astron. Soc. 493, 3132 (2020).MNRAA40035-871110.1093/mnras/staa278
  • 61J. S. Speagle, Mon. Not. R. Astron. Soc. 493, 3132 (2020).MNRAA40035-871110.1093/mnras/staa278
  • 62J. J. Blanco-Pillado, K. D. Olum, and B. Shlaer, Phys. Rev. D 92, 063528 (2015).PRVDAQ1550-799810.1103/PhysRevD.92.063528
  • 63L. Lentati , Mon. Not. R. Astron. Soc. 453, 2577 (2015).MNRAA40035-871110.1093/mnras/stv1538
  • 64S. A. Sanidas, R. A. Battye, and B. W. Stappers, Phys. Rev. D 85, 122003 (2012).PRVDAQ1550-799810.1103/PhysRevD.85.122003
  • 65T. Charnock, A. Avgoustidis, E. J. Copeland, and A. Moss, Phys. Rev. D 93, 123503 (2016).PRVDAQ2470-001010.1103/PhysRevD.93.123503