Irreducible cosmic production of relic vortons

Author(s)

Auclair, Pierre, Peter, Patrick, Ringeval, Christophe, Steer, Danièle

Abstract

The existence of a scaling network of current-carrying cosmic strings in our Universe is expected to continuously create loops endowed with a conserved current during the cosmological expansion. These loops radiate gravitational waves and may stabilise into centrifugally supported configurations. We show that this process generates an irreducible population of vortons which has not been considered so far. In particular, we expect vortons to be massively present today even if no loops are created at the time of string formation. We determine their cosmological distribution, and estimate their relic abundance today as a function of both the string tension and the current energy scale. This allows us to rule out new domains of this parameter space. At the same time, given some conditions on the string current, vortons are shown to provide a viable and original dark matter candidate, possibly for all values of the string tension. Their mass, spin and charge spectrum being broad, vortons would have an unusual phenomenology in dark matter searches.

Figures

Diagram $(\ell, t)$ for the different types loops/vortons. The left panel is for $G\U = 10^{-16}$ and the right panel for $G\U=10^{-19}$. The dark-dashed vertical line is the time of condensation, when strings become superconducting. The diagonal dark line represents $\ell = \alpha t$ (with $\alpha = 0.1$) the size at which loops are produced. The orange horizontal line shows the value of $\lambda$.
Caption Diagram $(\ell, t)$ for the different types loops/vortons. The left panel is for $G\U = 10^{-16}$ and the right panel for $G\U=10^{-19}$. The dark-dashed vertical line is the time of condensation, when strings become superconducting. The diagonal dark line represents $\ell = \alpha t$ (with $\alpha = 0.1$) the size at which loops are produced. The orange horizontal line shows the value of $\lambda$.
Diagram $(\ell, t)$ for the different types loops/vortons. The left panel is for $G\U = 10^{-16}$ and the right panel for $G\U=10^{-19}$. The dark-dashed vertical line is the time of condensation, when strings become superconducting. The diagonal dark line represents $\ell = \alpha t$ (with $\alpha = 0.1$) the size at which loops are produced. The orange horizontal line shows the value of $\lambda$.
Caption Diagram $(\ell, t)$ for the different types loops/vortons. The left panel is for $G\U = 10^{-16}$ and the right panel for $G\U=10^{-19}$. The dark-dashed vertical line is the time of condensation, when strings become superconducting. The diagonal dark line represents $\ell = \alpha t$ (with $\alpha = 0.1$) the size at which loops are produced. The orange horizontal line shows the value of $\lambda$.
The left panel shows the density parameter $\Omegarelmin$ (today) from the population of \emph{irreducible relaxed} vortons, i.e.~we have assumed that there is no loop at the string forming time ($\Cini=0$). The right panel shows the density parameter $\Omegaprod$ of \emph{produced} vortons derived analytically in equation~\eqref{eq:omegaprodapprox}. The thick green line shows the value $\OmegaDM=0.3$, typical of the current dark matter density parameter. The white patches on these figures correspond to regions of the parameter space where no vortons are present: all loops there are either doomed or proto-vortons. Abundances of these two populations of vortons have not been derived before and constitute an irreducible contribution.
Caption The left panel shows the density parameter $\Omegarelmin$ (today) from the population of \emph{irreducible relaxed} vortons, i.e.~we have assumed that there is no loop at the string forming time ($\Cini=0$). The right panel shows the density parameter $\Omegaprod$ of \emph{produced} vortons derived analytically in equation~\eqref{eq:omegaprodapprox}. The thick green line shows the value $\OmegaDM=0.3$, typical of the current dark matter density parameter. The white patches on these figures correspond to regions of the parameter space where no vortons are present: all loops there are either doomed or proto-vortons. Abundances of these two populations of vortons have not been derived before and constitute an irreducible contribution.
The left panel shows the density parameter $\Omegarelmin$ (today) from the population of \emph{irreducible relaxed} vortons, i.e.~we have assumed that there is no loop at the string forming time ($\Cini=0$). The right panel shows the density parameter $\Omegaprod$ of \emph{produced} vortons derived analytically in equation~\eqref{eq:omegaprodapprox}. The thick green line shows the value $\OmegaDM=0.3$, typical of the current dark matter density parameter. The white patches on these figures correspond to regions of the parameter space where no vortons are present: all loops there are either doomed or proto-vortons. Abundances of these two populations of vortons have not been derived before and constitute an irreducible contribution.
Caption The left panel shows the density parameter $\Omegarelmin$ (today) from the population of \emph{irreducible relaxed} vortons, i.e.~we have assumed that there is no loop at the string forming time ($\Cini=0$). The right panel shows the density parameter $\Omegaprod$ of \emph{produced} vortons derived analytically in equation~\eqref{eq:omegaprodapprox}. The thick green line shows the value $\OmegaDM=0.3$, typical of the current dark matter density parameter. The white patches on these figures correspond to regions of the parameter space where no vortons are present: all loops there are either doomed or proto-vortons. Abundances of these two populations of vortons have not been derived before and constitute an irreducible contribution.
The upper left-hand panel shows the density parameter of relaxed vortons coming only from loops present at the string-forming phase transition, when starting from a Vachaspati-Vilenkin distribution at $t=\tini$. This is the population derived in Ref.~\cite{Brandenberger:1996zp}, that we recover by setting $C=0$ in our equations. The upper right-hand panel shows the numerically evaluated density parameter of the irreducible relaxed vortons $\Omegarel^{\min}$ (to be compared to our analytic estimation in the left panel of figure~\ref{fig:omegaapprox}). The lower left-hand panel shows the density parameter $\Omegarel$ (today) from the population of all \emph{relaxed} vortons (the sum of the upper left and right panels). Thermal history effects are visible on the upper boundary towards the minimum possible values of $1/\NNstar$ and $G\U$. The lower right-hand panel shows the density parameter $\Omegaprod$ today of \emph{produced} vortons derived numerically, and is indistinguishable from our analytic estimation of equation~\eqref{eq:omegaprodapprox} (see right-hand panel of figure~\ref{fig:omegaapprox}). The thick green line corresponds to all density parameter values in the range $[0.2,0.4]$.
Caption The upper left-hand panel shows the density parameter of relaxed vortons coming only from loops present at the string-forming phase transition, when starting from a Vachaspati-Vilenkin distribution at $t=\tini$. This is the population derived in Ref.~\cite{Brandenberger:1996zp}, that we recover by setting $C=0$ in our equations. The upper right-hand panel shows the numerically evaluated density parameter of the irreducible relaxed vortons $\Omegarel^{\min}$ (to be compared to our analytic estimation in the left panel of figure~\ref{fig:omegaapprox}). The lower left-hand panel shows the density parameter $\Omegarel$ (today) from the population of all \emph{relaxed} vortons (the sum of the upper left and right panels). Thermal history effects are visible on the upper boundary towards the minimum possible values of $1/\NNstar$ and $G\U$. The lower right-hand panel shows the density parameter $\Omegaprod$ today of \emph{produced} vortons derived numerically, and is indistinguishable from our analytic estimation of equation~\eqref{eq:omegaprodapprox} (see right-hand panel of figure~\ref{fig:omegaapprox}). The thick green line corresponds to all density parameter values in the range $[0.2,0.4]$.
The upper left-hand panel shows the density parameter of relaxed vortons coming only from loops present at the string-forming phase transition, when starting from a Vachaspati-Vilenkin distribution at $t=\tini$. This is the population derived in Ref.~\cite{Brandenberger:1996zp}, that we recover by setting $C=0$ in our equations. The upper right-hand panel shows the numerically evaluated density parameter of the irreducible relaxed vortons $\Omegarel^{\min}$ (to be compared to our analytic estimation in the left panel of figure~\ref{fig:omegaapprox}). The lower left-hand panel shows the density parameter $\Omegarel$ (today) from the population of all \emph{relaxed} vortons (the sum of the upper left and right panels). Thermal history effects are visible on the upper boundary towards the minimum possible values of $1/\NNstar$ and $G\U$. The lower right-hand panel shows the density parameter $\Omegaprod$ today of \emph{produced} vortons derived numerically, and is indistinguishable from our analytic estimation of equation~\eqref{eq:omegaprodapprox} (see right-hand panel of figure~\ref{fig:omegaapprox}). The thick green line corresponds to all density parameter values in the range $[0.2,0.4]$.
Caption The upper left-hand panel shows the density parameter of relaxed vortons coming only from loops present at the string-forming phase transition, when starting from a Vachaspati-Vilenkin distribution at $t=\tini$. This is the population derived in Ref.~\cite{Brandenberger:1996zp}, that we recover by setting $C=0$ in our equations. The upper right-hand panel shows the numerically evaluated density parameter of the irreducible relaxed vortons $\Omegarel^{\min}$ (to be compared to our analytic estimation in the left panel of figure~\ref{fig:omegaapprox}). The lower left-hand panel shows the density parameter $\Omegarel$ (today) from the population of all \emph{relaxed} vortons (the sum of the upper left and right panels). Thermal history effects are visible on the upper boundary towards the minimum possible values of $1/\NNstar$ and $G\U$. The lower right-hand panel shows the density parameter $\Omegaprod$ today of \emph{produced} vortons derived numerically, and is indistinguishable from our analytic estimation of equation~\eqref{eq:omegaprodapprox} (see right-hand panel of figure~\ref{fig:omegaapprox}). The thick green line corresponds to all density parameter values in the range $[0.2,0.4]$.
The upper left-hand panel shows the density parameter of relaxed vortons coming only from loops present at the string-forming phase transition, when starting from a Vachaspati-Vilenkin distribution at $t=\tini$. This is the population derived in Ref.~\cite{Brandenberger:1996zp}, that we recover by setting $C=0$ in our equations. The upper right-hand panel shows the numerically evaluated density parameter of the irreducible relaxed vortons $\Omegarel^{\min}$ (to be compared to our analytic estimation in the left panel of figure~\ref{fig:omegaapprox}). The lower left-hand panel shows the density parameter $\Omegarel$ (today) from the population of all \emph{relaxed} vortons (the sum of the upper left and right panels). Thermal history effects are visible on the upper boundary towards the minimum possible values of $1/\NNstar$ and $G\U$. The lower right-hand panel shows the density parameter $\Omegaprod$ today of \emph{produced} vortons derived numerically, and is indistinguishable from our analytic estimation of equation~\eqref{eq:omegaprodapprox} (see right-hand panel of figure~\ref{fig:omegaapprox}). The thick green line corresponds to all density parameter values in the range $[0.2,0.4]$.
Caption The upper left-hand panel shows the density parameter of relaxed vortons coming only from loops present at the string-forming phase transition, when starting from a Vachaspati-Vilenkin distribution at $t=\tini$. This is the population derived in Ref.~\cite{Brandenberger:1996zp}, that we recover by setting $C=0$ in our equations. The upper right-hand panel shows the numerically evaluated density parameter of the irreducible relaxed vortons $\Omegarel^{\min}$ (to be compared to our analytic estimation in the left panel of figure~\ref{fig:omegaapprox}). The lower left-hand panel shows the density parameter $\Omegarel$ (today) from the population of all \emph{relaxed} vortons (the sum of the upper left and right panels). Thermal history effects are visible on the upper boundary towards the minimum possible values of $1/\NNstar$ and $G\U$. The lower right-hand panel shows the density parameter $\Omegaprod$ today of \emph{produced} vortons derived numerically, and is indistinguishable from our analytic estimation of equation~\eqref{eq:omegaprodapprox} (see right-hand panel of figure~\ref{fig:omegaapprox}). The thick green line corresponds to all density parameter values in the range $[0.2,0.4]$.
The upper left-hand panel shows the density parameter of relaxed vortons coming only from loops present at the string-forming phase transition, when starting from a Vachaspati-Vilenkin distribution at $t=\tini$. This is the population derived in Ref.~\cite{Brandenberger:1996zp}, that we recover by setting $C=0$ in our equations. The upper right-hand panel shows the numerically evaluated density parameter of the irreducible relaxed vortons $\Omegarel^{\min}$ (to be compared to our analytic estimation in the left panel of figure~\ref{fig:omegaapprox}). The lower left-hand panel shows the density parameter $\Omegarel$ (today) from the population of all \emph{relaxed} vortons (the sum of the upper left and right panels). Thermal history effects are visible on the upper boundary towards the minimum possible values of $1/\NNstar$ and $G\U$. The lower right-hand panel shows the density parameter $\Omegaprod$ today of \emph{produced} vortons derived numerically, and is indistinguishable from our analytic estimation of equation~\eqref{eq:omegaprodapprox} (see right-hand panel of figure~\ref{fig:omegaapprox}). The thick green line corresponds to all density parameter values in the range $[0.2,0.4]$.
Caption The upper left-hand panel shows the density parameter of relaxed vortons coming only from loops present at the string-forming phase transition, when starting from a Vachaspati-Vilenkin distribution at $t=\tini$. This is the population derived in Ref.~\cite{Brandenberger:1996zp}, that we recover by setting $C=0$ in our equations. The upper right-hand panel shows the numerically evaluated density parameter of the irreducible relaxed vortons $\Omegarel^{\min}$ (to be compared to our analytic estimation in the left panel of figure~\ref{fig:omegaapprox}). The lower left-hand panel shows the density parameter $\Omegarel$ (today) from the population of all \emph{relaxed} vortons (the sum of the upper left and right panels). Thermal history effects are visible on the upper boundary towards the minimum possible values of $1/\NNstar$ and $G\U$. The lower right-hand panel shows the density parameter $\Omegaprod$ today of \emph{produced} vortons derived numerically, and is indistinguishable from our analytic estimation of equation~\eqref{eq:omegaprodapprox} (see right-hand panel of figure~\ref{fig:omegaapprox}). The thick green line corresponds to all density parameter values in the range $[0.2,0.4]$.
The total relic abundance of all vortons starting from a Vachaspati-Vilenkin initial loop distribution, with an initial thermal correlation length $\ellcorr = 1/\sqrt{\U}$, and a one-scale loop production function with $\alpha=0.1$. The green line corresponds to the range of values $[0.2,0.4]$. The different populations contribution is represented in figure~\ref{fig:omegasvv}.
Caption The total relic abundance of all vortons starting from a Vachaspati-Vilenkin initial loop distribution, with an initial thermal correlation length $\ellcorr = 1/\sqrt{\U}$, and a one-scale loop production function with $\alpha=0.1$. The green line corresponds to the range of values $[0.2,0.4]$. The different populations contribution is represented in figure~\ref{fig:omegasvv}.
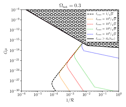
The total relic abundance of all vortons starting from a Vachaspati-Vilenkin initial loop distribution with various correlation length $\ellcorr$ ranging from the thermal one $1/\sqrt{\U}$ to the Kibble one $\horizon{\tini}$. Each curve represents the value $\Omegatot=0.3$. Domains right of this curve lead to vortons overclosing the Universe, domains on the left are compatible with current cosmological constraints. The upper hatched region corresponds to the irreducible relaxed and produced vortons not affected by the initial conditions.
Caption The total relic abundance of all vortons starting from a Vachaspati-Vilenkin initial loop distribution with various correlation length $\ellcorr$ ranging from the thermal one $1/\sqrt{\U}$ to the Kibble one $\horizon{\tini}$. Each curve represents the value $\Omegatot=0.3$. Domains right of this curve lead to vortons overclosing the Universe, domains on the left are compatible with current cosmological constraints. The upper hatched region corresponds to the irreducible relaxed and produced vortons not affected by the initial conditions.
References
  • Kibble T. W. B. 1976 Topology of Cosmic Domains and Strings J. Phys. A 9 1387-1398
  • Lorenz Larissa, Ringeval Christophe and Sakellariadou Mairi 2010 Cosmic string loop distribution on all length scales and at any redshift JCAP 10 003 (arXiv:1006.0931)
  • Damour Thibault and Vilenkin Alexander 2001 Gravitational wave bursts from cusps and kinks on cosmic strings Phys. Rev. D 64 064008 (arXiv:gr-qc/0104026)
  • Blanco-Pillado Jose J. and Olum Ken D. 2017 Stochastic gravitational wave background from smoothed cosmic string loops Phys. Rev. D 96 104046 (arXiv:1709.02693)
  • Ringeval Christophe and Suyama Teruaki 2017 Stochastic gravitational waves from cosmic string loops in scaling JCAP 12 027 (arXiv:1709.03845)
  • Witten Edward 1985 Cosmic Superstrings Phys. Lett. B 153 243-246
  • Lazarides George, Panagiotakopoulos C. and Shafi Q. 1987 Superheavy Superconducting Cosmic Strings From Superstring Models Phys. Lett. B 183 289-295
  • Carter Brandon 2000 Dilatonic formulation for conducting cosmic string models Annalen Phys. 9 ed G. Neugebauer and R. Collier 247-257 (arXiv:hep-th/0002162)
  • Carter Brandon 2001 Essentials of classical brane dynamics Int. J. Theor. Phys. 40 2099-2130 (arXiv:gr-qc/0012036)
  • Kibble T. W. B. 1982 Phase Transitions in the Early Universe Acta Phys. Polon. B 13 723
  • Brandenberger Robert H., Carter Brandon, Davis Anne-Christine and Trodden Mark 1996 Cosmic vortons and particle physics constraints Phys. Rev. D 54 6059-6071 (arXiv:hep-ph/9605382)
  • Jones Nicholas T., Stoica Horace and Tye S. H. Henry 2002 Brane interaction as the origin of inflation JHEP 07 051 (arXiv:hep-th/0203163)
  • Sarangi Saswat and Tye S. H. Henry 2002 Cosmic string production towards the end of brane inflation Phys. Lett. B 536 185-192 (arXiv:hep-th/0204074)
  • Urrestilla Jon and Vilenkin Alexander 2008 Evolution of cosmic superstring networks: a Numerical simulation JHEP 02 037 (arXiv:0712.1146)
  • Polchinski Joseph 2004 Cosmic superstrings revisited AIP Conf. Proc. 743 ed P. Florides, B. Nolan and A. Ottewill 331-340 (arXiv:hep-th/0410082)
  • B. Carter, Covariant mechanics of simple and conducting strings and membranes, in The formation and evolution of cosmic strings. Proceedings, workshop, Cambridge, U.K., 3–7 July 1989, G. Gibbons, S. Hawking and T. Vachaspati eds., (1990), pg. 143.
  • Carter Brandon and Peter Patrick 1995 Supersonic string models for Witten vortices Phys. Rev. D 52 1744-1748 (arXiv:hep-ph/9411425)
  • Davis R. L. and Shellard E. P. S. 1989 COSMIC VORTONS Nucl. Phys. B 323 209-224
  • B. Carter, Cosmic rings as a chump dark matter candidate?, in 10^ th Moriond astrophysics meeting: the early phases of the universe, (1990), pg. 213.
  • Martins C. J. A. P. and Shellard E. P. S. 1998 Vorton formation Phys. Rev. D 57 7155-7176 (arXiv:hep-ph/9804378)
  • Martins C. J. A. P. and Shellard E. P. S. 1998 Limits on cosmic chiral vortons Phys. Lett. B 445 43-51 (arXiv:hep-ph/9806480)
  • Carter Brandon 2000 Old and new processes of vorton formation Lect. Notes Phys. 541 ed J. Kowalski-Glikman 71-78 (arXiv:hep-ph/9909513)
  • Davis A. C., Kibble T. W. B., Pickles M. and Steer Daniele A. 2000 Dynamics and properties of chiral cosmic strings in Minkowski space Phys. Rev. D 62 083516 (arXiv:astro-ph/0005514)
  • Steer Daniele A. 2001 Selfintersections and gravitational properties of chiral cosmic strings in Minkowski space Phys. Rev. D 63 083517 (arXiv:astro-ph/0011233)
  • Lemperiere Y. and Shellard E. P. S. 2003 Vorton existence and stability Phys. Rev. Lett. 91 141601 (arXiv:hep-ph/0305156)
  • Battye Richard A. and Sutcliffe Paul M. 2009 Vorton construction and dynamics Nucl. Phys. B 814 180-194 (arXiv:0812.3239)
  • Garaud Julien, Radu Eugen and Volkov Mikhail S. 2013 Stable Cosmic Vortons Phys. Rev. Lett. 111 171602 (arXiv:1303.3044)
  • Peter Patrick and Ringeval Christophe 2013 A Boltzmann treatment for the vorton excess problem JCAP 05 005 (arXiv:1302.0953)
  • Ringeval Christophe, Sakellariadou Mairi and Bouchet Francois 2007 Cosmological evolution of cosmic string loops JCAP 02 023 (arXiv:astro-ph/0511646)
  • Bonazzola Silvano and Peter Patrick 1997 Can high-energy cosmic rays be vortons? Astropart. Phys. 7 161-172 (arXiv:hep-ph/9701246)
  • Planck Collaboration, Aghanim N. et al 2020 Planck 2018 results. VI. Cosmological parameters Astron. Astrophys. 641 A6 (arXiv:1807.06209)
  • Auclair Pierre, Steer Danièle A. and Vachaspati Tanmay 2020 Particle emission and gravitational radiation from cosmic strings: observational constraints Phys. Rev. D 101 083511 (arXiv:1911.12066)
  • Carter B. 1989 Duality Relation Between Charged Elastic Strings and Superconducting Cosmic Strings Phys. Lett. B 224 61-66
  • Carter B. 1992 Basic brane theory Class. Quant. Grav. 9 S19-S33
  • Babul Arif, Piran Tsvi and Spergel David N. 1988 BOSONIC SUPERCONDUCTING COSMIC STRINGS. 1. CLASSICAL FIELD THEORY SOLUTIONS Phys. Lett. B 202 307-314
  • Peter P. 1992 Superconducting cosmic string: equation of state for space - like and time - like current in the neutral limit Phys. Rev. D 45 1091-1102
  • Carter Brandon and Peter Patrick 1999 Dynamics and integrability property of the chiral string model Phys. Lett. B 466 41-49 (arXiv:hep-th/9905025)
  • Ringeval Christophe 2001 Equation of state of cosmic strings with fermionic current carriers Phys. Rev. D 63 063508 (arXiv:hep-ph/0007015)
  • Ringeval Christophe 2001 Fermionic massive modes along cosmic strings Phys. Rev. D 64 123505 (arXiv:hep-ph/0106179)
  • Peter P. 1992 Equation of state of cosmic strings in the presence of charged particles Class. Quant. Grav. 9 S197-S206
  • Peter P. 1992 Influence of the electric coupling strength in current carrying cosmic strings Phys. Rev. D 46 3335-3349
  • Carter B. 1990 Mechanics of cosmic rings Phys. Lett. B 238 166-171 (arXiv:hep-th/0703023)
  • Davis Stephen C., Davis Anne-Christine and Trodden Mark 1997 N=1 supersymmetric cosmic strings Phys. Lett. B 405 257-264 (arXiv:hep-ph/9702360)
  • Carter B. and Steer Daniele A. 2004 Symplectic structure for elastic and chiral conducting cosmic string models Phys. Rev. D 69 125002 (arXiv:hep-th/0307161)
  • Allen Bruce and Shellard E. P. S. 1992 Gravitational radiation from cosmic strings Phys. Rev. D 45 1898-1912
  • Copeland Edmund J., Kibble T. W. B. and Steer Daniele A. 1998 The Evolution of a network of cosmic string loops Phys. Rev. D 58 043508 (arXiv:hep-ph/9803414)
  • Rocha Jorge V. 2008 Scaling solution for small cosmic string loops Phys. Rev. Lett. 100 071601 (arXiv:0709.3284)
  • Auclair Pierre, Ringeval Christophe, Sakellariadou Mairi and Steer Daniele 2019 Cosmic string loop production functions JCAP 06 015 (arXiv:1903.06685)
  • Polchinski Joseph and Rocha Jorge V. 2006 Analytic study of small scale structure on cosmic strings Phys. Rev. D 74 083504 (arXiv:hep-ph/0606205)
  • Dubath Florian, Polchinski Joseph and Rocha Jorge V. 2008 Cosmic String Loops, Large and Small Phys. Rev. D 77 123528 (arXiv:0711.0994)
  • Auclair Pierre G. 2020 Impact of the small-scale structure on the Stochastic Background of Gravitational Waves from cosmic strings JCAP 11 050 (arXiv:2009.00334)
  • Siemens Xavier, Olum Ken D. and Vilenkin Alexander 2002 On the size of the smallest scales in cosmic string networks Phys. Rev. D 66 043501 (arXiv:gr-qc/0203006)
  • Polchinski Joseph and Rocha Jorge V. 2007 Cosmic string structure at the gravitational radiation scale Phys. Rev. D 75 123503 (arXiv:gr-qc/0702055)
  • Vachaspati Tanmay and Vilenkin Alexander 1984 Formation and Evolution of Cosmic Strings Phys. Rev. D 30 2036
  • Hindmarsh Mark and Philipsen Owe 2005 WIMP dark matter and the QCD equation of state Phys. Rev. D 71 087302 (arXiv:hep-ph/0501232)
  • Jeannerot Rachel, Rocher Jonathan and Sakellariadou Mairi 2003 How generic is cosmic string formation in SUSY GUTs Phys. Rev. D 68 103514 (arXiv:hep-ph/0308134)
  • Rocher Jonathan and Sakellariadou Mairi 2005 Supersymmetric grand unified theories and cosmology JCAP 03 004 (arXiv:hep-ph/0406120)
  • Rajantie Arttu 2002 Formation of topological defects in gauge field theories Int. J. Mod. Phys. A 17 1-44 (arXiv:hep-ph/0108159)
  • Rivers R. J., Lombardo F. C. and Mazzitelli F. D. 2002 The Formation of classical defects after a slow quantum phase transition Phys. Lett. B 539 1-7 (arXiv:hep-ph/0205337)
  • Ringeval Christophe, Yamauchi Daisuke, Yokoyama Jun'ichi and Bouchet Francois R. 2016 Large scale CMB anomalies from thawing cosmic strings JCAP 02 033 (arXiv:1510.01916)
  • Blanco-Pillado Jose J., Olum Ken D. and Siemens Xavier 2018 New limits on cosmic strings from gravitational wave observation Phys. Lett. B 778 392-396 (arXiv:1709.02434)
  • LIGO Scientific, Virgo Collaboration, Abbott B. P. et al 2018 Constraints on cosmic strings using data from the first Advanced LIGO observing run Phys. Rev. D 97 102002 (arXiv:1712.01168)
  • Ringeval Christophe and Bouchet Francois R. 2012 All Sky CMB Map from Cosmic Strings Integrated Sachs-Wolfe Effect Phys. Rev. D 86 023513 (arXiv:1204.5041)
  • Planck Collaboration, Ade P. A. R. et al 2014 Planck 2013 results. XXV. Searches for cosmic strings and other topological defects Astron. Astrophys. 571 A25 (arXiv:1303.5085)
  • Lizarraga Joanes, Urrestilla Jon, Daverio David, Hindmarsh Mark, Kunz Martin and Liddle Andrew R. 2014 Constraining topological defects with temperature and polarization anisotropies Phys. Rev. D 90 103504 (arXiv:1408.4126)
  • Lazanu Andrei and Shellard Paul 2015 Constraints on the Nambu-Goto cosmic string contribution to the CMB power spectrum in light of new temperature and polarisation data JCAP 02 024 (arXiv:1410.5046)
  • Lazanu Andrei, Shellard E. P. S. and Landriau Martin 2015 CMB power spectrum of Nambu-Goto cosmic strings Phys. Rev. D 91 083519 (arXiv:1410.4860)
  • Cai Yi-Fu, Sabancilar Eray and Vachaspati Tanmay 2012 Radio bursts from superconducting strings Phys. Rev. D 85 023530 (arXiv:1110.1631)
  • Cai Yi-Fu, Sabancilar Eray, Steer Daniele A. and Vachaspati Tanmay 2012 Radio Broadcasts from Superconducting Strings Phys. Rev. D 86 043521 (arXiv:1205.3170)
  • Arina Chiara, Hamann Jan and Wong Yvonne Y. Y. 2011 A Bayesian view of the current status of dark matter direct searches JCAP 09 022 (arXiv:1105.5121)
  • Arina Chiara 2014 Bayesian analysis of multiple direct detection experiments Phys. Dark Univ. 5-6 1-17 (arXiv:1310.5718)
  • Auclair Pierre et al 2020 Probing the gravitational wave background from cosmic strings with LISA JCAP 04 034 (arXiv:1909.00819)