Comment on: “Third-order corrections to the slow-roll expansion: Calculation and constraints with Planck, ACT, SPT, and BICEP/Keck [2025 PDU 47 101813]”

Author(s)

Auclair, Pierre, Ringeval, Christophe

Abstract

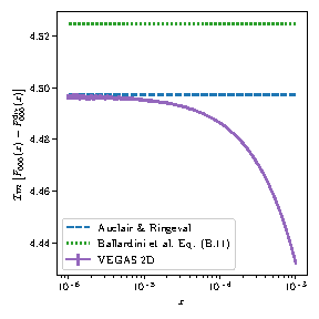
We point out that Ballardini et al. [41] adopt approximations that do not reproduce the exact result originally presented by Auclair and Ringeval [39]. In our original work, all terms at all orders have been derived exactly and any difference between two expansions performed at the same pivot wavenumber signals a problem. As we show in this comment, the simplifications performed by Ballardini et al. [41] fail to reproduce the finite part of some definite three-dimensional integrals. We explain in details the discrepancy between the approximate results of Ballardini et al. [41] and the exact result of Auclair and Ringeval [39], which can be summarized as the difference between integrating a truncated Taylor expansion and Taylor expanding an integral. Our claim is backed-up with a Monte-Carlo numerical integration of the incriminated three-dimensional integrals, which, unsurprisingly, matches the analytical value derived in Auclair and Ringeval [39].

Figures

 : Real part.
Caption : Real part.
 : Imaginary part.
Caption : Imaginary part.
References
  • A.A.Starobinsky<maintitle>Spectrum of relict gravitational radiation and the early state of the universe</maintitle><maintitle>JETP Lett.</maintitle>301979682685A. A. Starobinsky, Spectrum of relict gravitational radiation and the early state of the universe, JETP Lett. 30 (1979) 682–685.
  • A.A.Starobinsky<maintitle>A new type of isotropic cosmological models without singularity</maintitle><maintitle>Phys. Lett. B</maintitle>9119809910210.1016/0370-2693(80)90670-XA. A. Starobinsky, A new type of isotropic cosmological models without singularity, Phys. Lett. B 91 (1980) 99–102. 10.1016/0370-2693(80)90670-X
  • A.H.Guth<maintitle>The inflationary universe: a possible solution to the horizon and flatness problems</maintitle><maintitle>Phys. Rev. D</maintitle>23198134735610.1103/PhysRevD.23.347A. H. Guth, The inflationary universe: a possible solution to the horizon and flatness problems, Phys. Rev. D 23 (1981) 347–356. 10.1103/PhysRevD.23.347
  • A.D.Linde<maintitle>A new inflationary universe scenario: a possible solution of the horizon, flatness, homogeneity, isotropy and primordial monopole problems</maintitle><maintitle>Phys. Lett. B</maintitle>108198238939310.1016/0370-2693(82)91219-9A. D. Linde, A new inflationary universe scenario: a possible solution of the horizon, flatness, homogeneity, isotropy and primordial monopole problems, Phys. Lett. B 108 (1982) 389–393. 10.1016/0370-2693(82)91219-9
  • A.AlbrechtP.J.Steinhardt<maintitle>Cosmology for grand unified theories with radiatively induced symmetry breaking</maintitle><maintitle>Phys. Rev. Lett.</maintitle>4819821220122310.1103/PhysRevLett.48.1220A. Albrecht, P. J. Steinhardt, Cosmology for grand unified theories with radiatively induced symmetry breaking, Phys. Rev. Lett. 48 (1982) 1220–1223. 10.1103/PhysRevLett.48.1220
  • A.D.Linde<maintitle>Chaotic inflation</maintitle><maintitle>Phys. Lett. B</maintitle>129198317718110.1016/0370-2693(83)90837-7A. D. Linde, Chaotic inflation, Phys. Lett. B 129 (1983) 177–181. 10.1016/0370-2693(83)90837-7
  • V.F.MukhanovG.V.Chibisov<maintitle>Quantum fluctuations and a nonsingular universe</maintitle><maintitle>JETP Lett.</maintitle>331981532535V. F. Mukhanov, G. V. Chibisov, Quantum fluctuations and a nonsingular universe, JETP Lett. 33 (1981) 532–535.
  • V.F.MukhanovG.V.Chibisov<maintitle>The vacuum energy and large scale structure of the universe</maintitle><maintitle>Sov. Phys. JETP</maintitle>561982258265V. F. Mukhanov, G. V. Chibisov, The vacuum energy and large scale structure of the universe, Sov. Phys. JETP 56 (1982) 258–265.
  • A.A.Starobinsky<maintitle>Dynamics of phase transition in the new inflationary universe scenario and generation of perturbations</maintitle><maintitle>Phys. Lett. B</maintitle>117198217517810.1016/0370-2693(82)90541-XA. A. Starobinsky, Dynamics of phase transition in the new inflationary universe scenario and generation of perturbations, Phys. Lett. B 117 (1982) 175–178. 10.1016/0370-2693(82)90541-X
  • A.H.GuthS.Y.Pi<maintitle>Fluctuations in the new inflationary universe</maintitle><maintitle>Phys. Rev. Lett.</maintitle>4919821110111310.1103/PhysRevLett.49.1110A. H. Guth, S. Y. Pi, Fluctuations in the new inflationary universe, Phys. Rev. Lett. 49 (1982) 1110–1113. 10.1103/PhysRevLett.49.1110
  • S.W.Hawking<maintitle>The development of irregularities in a single bubble inflationary universe</maintitle><maintitle>Phys. Lett. B</maintitle>115198229510.1016/0370-2693(82)90373-2S. W. Hawking, The development of irregularities in a single bubble inflationary universe, Phys. Lett. B 115 (1982) 295. 10.1016/0370-2693(82)90373-2
  • J.M.BardeenP.J.SteinhardtM.S.Turner<maintitle>Spontaneous creation of almost scale-free density perturbations in an inflationary universe</maintitle><maintitle>Phys. Rev. D</maintitle>281983679693J. M. Bardeen, P. J. Steinhardt, M. S. Turner, Spontaneous creation of almost scale-free density perturbations in an inflationary universe, Phys. Rev. D 28 (1983) 679–693.
  • J.MartinC.RingevalV.Vennin<maintitle>Encyclopædia inflationaris</maintitle><maintitle>Phys. Dark Univ.</maintitle>5-620147523510.1016/j.dark.2014.01.0031303.3787v3J. Martin, C. Ringeval, V. Vennin, Encyclopædia inflationaris, Phys. Dark Univ. 5-6 (2014) 75–235. 1303.3787v3. 10.1016/j.dark.2014.01.003
  • J.MartinC.RingevalV.Vennin<maintitle>Encyclopædia inflationaris: opiparous edition</maintitle><maintitle>Phys. Dark Univ.</maintitle>46202410165310.1016/j.dark.2024.1016531303.3787J. Martin, C. Ringeval, V. Vennin, Encyclopædia inflationaris: opiparous edition, Phys. Dark Univ. 46 (2024a) 101653. 1303.3787. 10.1016/j.dark.2024.101653
  • J.MartinC.RingevalV.Vennin<maintitle>Cosmic inflation at the crossroads</maintitle><maintitle>JCAP</maintitle>07202408710.1088/1475-7516/2024/07/0872404.10647J. Martin, C. Ringeval, V. Vennin, Cosmic inflation at the crossroads, JCAP 07 (2024b) 087. 2404.10647. 10.1088/1475-7516/2024/07/087
  • J.MartinC.RingevalV.Vennin<maintitle>Vanilla inflation predicts negative running</maintitle><maintitle>EPL</maintitle>148220242900210.1209/0295-5075/ad847c2404.15089J. Martin, C. Ringeval, V. Vennin, Vanilla inflation predicts negative running, EPL 148 (2) (2024c) 29002. 2404.15089. 10.1209/0295-5075/ad847c
  • C.Ringeval<maintitle>BaBy cosmic tension</maintitle><maintitle>EPL</maintitle>153220262900110.1209/0295-5075/ae37a02510.03118C. Ringeval, BaBy cosmic tension, EPL 153 (2) (2026) 29001. 2510.03118. 10.1209/0295-5075/ae37a0
  • D.S.SalopekJ.R.Bond<maintitle>Nonlinear evolution of long-wavelength metric fluctuations in inflationary models</maintitle><maintitle>Phys. Rev. D</maintitle>4219903936396210.1103/PhysRevD.42.3936D. S. Salopek, J. R. Bond, Nonlinear evolution of long-wavelength metric fluctuations in inflationary models, Phys. Rev. D 42 (1990) 3936–3962. 10.1103/PhysRevD.42.3936
  • J.A.AdamsB.CresswellR.Easther<maintitle>Inflationary perturbations from a potential with a step</maintitle><maintitle>Phys. Rev.</maintitle>D642001123514astro-ph/0102236J. A. Adams, B. Cresswell, R. Easther, Inflationary perturbations from a potential with a step, Phys. Rev. D64 (2001) 123514. astro-ph/0102236
  • C.Ringeval<maintitle>The exact numerical treatment of inflationary models</maintitle><maintitle>Lect. Notes Phys.</maintitle>738200824327310.1007/978-3-540-74353-8_7arXiv:astro-ph/0703486C. Ringeval, The exact numerical treatment of inflationary models, Lect. Notes Phys. 738 (2008) 243–273. arXiv:astro-ph/0703486, 10.1007/978-3-540-74353-8_7
  • M.J.MortonsonH.V.PeirisR.Easther<maintitle>Bayesian analysis of inflation: parameter estimation for single field models</maintitle><maintitle>Phys. Rev.</maintitle>D83201104350510.1103/PhysRevD.83.0435051007.4205M. J. Mortonson, H. V. Peiris, R. Easther, Bayesian analysis of inflation: parameter estimation for single field models, Phys. Rev. D83 (2011) 043505. 1007.4205 10.1103/PhysRevD.83.043505
  • D. Seery, CppTransport: a platform to automate calculation of inflationary correlation functions (2016). arXiv: 1609.00380, 10.5281/zenodo.61239.
  • D.WerthL.PinolS.Renaux-Petel<maintitle>CosmoFlow: python package for cosmological correlators</maintitle><maintitle>Class. Quant. Grav.</maintitle>4117202417501510.1088/1361-6382/ad6740arXiv:2402.03693D. Werth, L. Pinol, S. Renaux-Petel, CosmoFlow: python package for cosmological correlators, Class. Quant. Grav. 41 (17) (2024) 175015. arXiv:2402.03693, 10.1088/1361-6382/ad6740
  • E.D.StewartD.H.Lyth<maintitle>A more accurate analytic calculation of the spectrum of cosmological perturbations produced during inflation</maintitle><maintitle>Phys. Lett.</maintitle>B3021993171175arXiv:gr-qc/9302019E. D. Stewart, D. H. Lyth, A more accurate analytic calculation of the spectrum of cosmological perturbations produced during inflation, Phys. Lett. B302 (1993) 171–175. arXiv:gr-qc/9302019
  • A.R.LiddleP.ParsonsJ.D.Barrow<maintitle>Formalizing the slow roll approximation in inflation</maintitle><maintitle>Phys. Rev. D</maintitle>5019947222723210.1103/PhysRevD.50.7222arXiv:astro-ph/9408015A. R. Liddle, P. Parsons, J. D. Barrow, Formalizing the slow roll approximation in inflation, Phys. Rev. D 50 (1994) 7222–7232. arXiv:astro-ph/9408015, 10.1103/PhysRevD.50.7222
  • T.T.NakamuraE.D.Stewart<maintitle>The spectrum of cosmological perturbations produced by a multicomponent inflaton to second order in the slow roll approximation</maintitle><maintitle>Phys. Lett.</maintitle>B381199641341910.1016/0370-2693(96)00594-1arXiv:astro-ph/9604103T. T. Nakamura, E. D. Stewart, The spectrum of cosmological perturbations produced by a multicomponent inflaton to second order in the slow roll approximation, Phys. Lett. B381 (1996) 413–419. arXiv:astro-ph/9604103, 10.1016/0370-2693(96)00594-1
  • J.-O.GongE.D.Stewart<maintitle>The density perturbation power spectrum to second order corrections in the slow roll expansion</maintitle><maintitle>Phys. Lett. B</maintitle>51020011910.1016/S0370-2693(01)00616-5arXiv:astro-ph/0101225J.-O. Gong, E. D. Stewart, The density perturbation power spectrum to second order corrections in the slow roll expansion, Phys. Lett. B 510 (2001) 1–9. arXiv:astro-ph/0101225, 10.1016/S0370-2693(01)00616-5
  • M.B.HoffmanM.S.Turner<maintitle>Kinematic constraints to the key inflationary observables</maintitle><maintitle>Phys. Rev. D</maintitle>64200102350610.1103/PhysRevD.64.023506arXiv:astro-ph/0006321M. B. Hoffman, M. S. Turner, Kinematic constraints to the key inflationary observables, Phys. Rev. D 64 (2001) 023506. arXiv:astro-ph/0006321, 10.1103/PhysRevD.64.023506
  • D.J.SchwarzC.A.Terrero-EscalanteA.A.Garcia<maintitle>Higher order corrections to primordial spectra from cosmological inflation</maintitle><maintitle>Phys. Lett. B</maintitle>517200124324910.1016/S0370-2693(01)01036-XarXiv:astro-ph/0106020D. J. Schwarz, C. A. Terrero-Escalante, A. A. Garcia, Higher order corrections to primordial spectra from cosmological inflation, Phys. Lett. B 517 (2001) 243–249. arXiv:astro-ph/0106020, 10.1016/S0370-2693(01)01036-X
  • S.M.LeachA.R.LiddleJ.MartinD.J.Schwarz<maintitle>Cosmological parameter estimation and the inflationary cosmology</maintitle><maintitle>Phys. Rev. D</maintitle>66200202351510.1103/PhysRevD.66.023515arXiv:astro-ph/0202094S. M. Leach, A. R. Liddle, J. Martin, D. J. Schwarz, Cosmological parameter estimation and the inflationary cosmology, Phys. Rev. D 66 (2002) 023515. arXiv:astro-ph/0202094, 10.1103/PhysRevD.66.023515
  • D.J.SchwarzC.A.Terrero-Escalante<maintitle>Primordial fluctuations and cosmological inflation after WMAP 1.0</maintitle><maintitle>JCAP</maintitle>0408200400310.1088/1475-7516/2004/08/003arXiv:hep-ph/0403129D. J. Schwarz, C. A. Terrero-Escalante, Primordial fluctuations and cosmological inflation after WMAP 1.0, JCAP 0408 (2004) 003. arXiv:hep-ph/0403129, 10.1088/1475-7516/2004/08/003
  • A.Makarov<maintitle>On the accuracy of slow-roll inflation given current observational constraints</maintitle><maintitle>Phys. Rev.</maintitle>D722005083517arXiv:astro-ph/0506326A. Makarov, On the accuracy of slow-roll inflation given current observational constraints, Phys. Rev. D72 (2005) 083517. arXiv:astro-ph/0506326
  • C.Ringeval<maintitle>Fast Bayesian inference for slow-roll inflation</maintitle><maintitle>Mon. Not. R. Astron. Soc.</maintitle>43920143253326110.1093/mnras/stu109arXiv:1312.2347C. Ringeval, Fast Bayesian inference for slow-roll inflation, Mon. Not. R. Astron. Soc. 439 (2014) 3253–3261. arXiv:1312.2347, 10.1093/mnras/stu109
  • J.MartinC.RingevalV.Vennin<maintitle>Shortcomings of new parametrizations of inflation</maintitle><maintitle>Phys. Rev. D</maintitle>9412201612352110.1103/PhysRevD.94.123521arXiv:1609.04739J. Martin, C. Ringeval, V. Vennin, Shortcomings of new parametrizations of inflation, Phys. Rev. D 94 (12) (2016) 123521. arXiv:1609.04739, 10.1103/PhysRevD.94.123521
  • P.AuclairB.BlachierC.Ringeval<maintitle>Clocking the end of cosmic inflation</maintitle><maintitle>JCAP</maintitle>10202404910.1088/1475-7516/2024/10/049arXiv:2406.14152P. Auclair, B. Blachier, C. Ringeval, Clocking the end of cosmic inflation, JCAP 10 (2024) 049. arXiv:2406.14152, 10.1088/1475-7516/2024/10/049
  • F.Lacasa<maintitle>Cosmology in the non-linear regime : the small scale miracle</maintitle><maintitle>Astron. Astrophys.</maintitle>6612022A7010.1051/0004-6361/202037512arXiv:1912.06906F. Lacasa, Cosmology in the non-linear regime : the small scale miracle, Astron. Astrophys. 661 (2022) A70. arXiv:1912.06906, 10.1051/0004-6361/202037512
  • S.IlićEuclid<maintitle>Euclid preparation. XV. Forecasting cosmological constraints for the Euclid and CMB joint analysis</maintitle><maintitle>Astron. Astrophys.</maintitle>6572022A9110.1051/0004-6361/202141556arXiv:2106.08346S. Ilić, et al., Euclid, Euclid preparation. XV. Forecasting cosmological constraints for the Euclid and CMB joint analysis, Astron. Astrophys. 657 (2022) A91. arXiv:2106.08346, 10.1051/0004-6361/202141556
  • Y.MellierEuclid<maintitle>Euclid. I. Overview of the Euclid mission</maintitle><maintitle>Astron. Astrophys.</maintitle>6972025A110.1051/0004-6361/202450810arXiv:2405.13491Y. Mellier, et al., Euclid, Euclid. I. Overview of the Euclid mission, Astron. Astrophys. 697 (2025) A1. arXiv:2405.13491, 10.1051/0004-6361/202450810
  • P.AuclairC.Ringeval<maintitle>Slow-roll inflation at N3LO</maintitle><maintitle>Phys. Rev. D</maintitle>1066202206351210.1103/PhysRevD.106.063512arXiv:2205.12608P. Auclair, C. Ringeval, Slow-roll inflation at N3LO, Phys. Rev. D 106 (6) (2022) 063512. arXiv:2205.12608, 10.1103/PhysRevD.106.063512
  • E.BianchiM.Gamonal<maintitle>Primordial power spectrum at N3LO in effective theories of inflation</maintitle><maintitle>Phys. Rev. D</maintitle>11010202410403210.1103/PhysRevD.110.104032arXiv:2405.03157E. Bianchi, M. Gamonal, Primordial power spectrum at N3LO in effective theories of inflation, Phys. Rev. D 110 (10) (2024) 104032. arXiv:2405.03157, 10.1103/PhysRevD.110.104032
  • M.BallardiniA.DavoliS.S.Sirletti<maintitle>Third-order corrections to the slow-roll expansion: calculation and constraints with Planck, ACT, SPT, and BICEP/Keck</maintitle><maintitle>Phys. Dark Univ.</maintitle>47202510181310.1016/j.dark.2025.101813arXiv:2408.05210M. Ballardini, A. Davoli, S. S. Sirletti, Third-order corrections to the slow-roll expansion: calculation and constraints with Planck, ACT, SPT, and BICEP/Keck, Phys. Dark Univ. 47 (2025) 101813. arXiv:2408.05210, 10.1016/j.dark.2025.101813
  • J.MartinD.J.Schwarz<maintitle>WKB approximation for inflationary cosmological perturbations</maintitle><maintitle>Phys. Rev.</maintitle>D672003083512arXiv:astro-ph/0210090J. Martin, D. J. Schwarz, WKB approximation for inflationary cosmological perturbations, Phys. Rev. D67 (2003) 083512. arXiv:astro-ph/0210090
  • L.LorenzJ.MartinC.Ringeval<maintitle>K-inflationary power spectra in the uniform approximation</maintitle><maintitle>Phys. Rev.</maintitle>D78200808351310.1103/PhysRevD.78.083513arXiv:0807.3037L. Lorenz, J. Martin, C. Ringeval, K-inflationary power spectra in the uniform approximation, Phys. Rev. D78 (2008) 083513. arXiv:0807.3037, 10.1103/PhysRevD.78.083513
  • G.P.Lepage<maintitle>A new algorithm for adaptive multidimensional integration</maintitle><maintitle>J. Comput. Phys.</maintitle>27197819210.1016/0021-9991(78)90004-9G. P. Lepage, A new algorithm for adaptive multidimensional integration, J. Comput. Phys. 27 (1978) 192. 10.1016/0021-9991(78)90004-9
  • G.P.Lepage<maintitle>Adaptive multidimensional integration: VEGAS enhanced</maintitle><maintitle>J. Comput. Phys.</maintitle>439202111038610.1016/j.jcp.2021.110386arXiv:2009.05112G. P. Lepage, Adaptive multidimensional integration: VEGAS enhanced, J. Comput. Phys. 439 (2021) 110386. arXiv:2009.05112, 10.1016/j.jcp.2021.110386
  • I.S.GradshteynI.M.RyzhikA.JeffreyD.Zwillinger<maintitle>Table of Integrals, Series, and Products</maintitle>2007I. S. Gradshteyn, I. M. Ryzhik, A. Jeffrey, D. Zwillinger, Table of Integrals, Series, and Products, 2007.